452. Verordnung der Bundesministerin für Klimaschutz, Umwelt, Energie, Mobilität, Innovation und Technologie, mit der die Kraftstoffverordnung 2012 geändert wird
Auf Grund der §§ 11 Abs. 3 und 26a Abs. 2 lit. c und Abs. 3a des Kraftfahrgesetzes 1967, BGBl. I Nr. 267/1967, zuletzt geändert durch das Bundesgesetz BGBl. I Nr. 62/2022, wird verordnet:
Die Kraftstoffverordnung 2012, BGBl. II Nr. 398/2012, zuletzt geändert durch die Verordnung BGBl. II Nr. 630/2020, wird wie folgt geändert:
1. In § 1 Abs. 1 wird nach dem Wort „Biokraftstoffe“ die Wortfolge „und Biomethan“ eingefügt.
2. § 2 lautet:
„§ 2. Für diese Verordnung gelten die folgenden Begriffsbestimmungen:
- 1. „Konventionelles Rohöl“ ist jeder Raffinerierohstoff, der in einer Lagerstättenformation am Ursprungsort einen API-Grad (Grad nach dem American Petroleum Institute (API))von mehr als 10, gemessen mit dem ASTM-Testverfahren D287, aufweist und nicht unter die Definition des KN-Codes 2714 gemäß der Verordnung (EWG) Nr. 2658/87 vom 23. Juli 1987 über die zolltarifliche und statistische Nomenklatur sowie über den Gemeinsamen Zolltarif, ABl. Nr. L 256 vom 07.09.1987 S. 1, zuletzt geändert durch die Durchführungsverordnung (EU) 2022/1638, ABl. Nr. L 247 vom 23.09.2022 S. 67, fällt;
- 2.  „Naturbitumen“ ist jede Quelle für Raffinerierohstoffe,- a) die in einer Lagerstättenformation am Förderort einen API-Grad von höchstens 10, gemessen mit dem Testverfahren D287 der „American Society for Testing and Materials“ (ASTM), aufweisen;
- b) die eine jährliche Durchschnittsviskosität bei Lagerstättentemperatur haben, die höher ist als die durch die Gleichung Viskosität (in Centipoise) = 518,98 e-0,038T berechnete Viskosität; dabei ist T die Temperatur in Grad Celsius;
- c) die unter die Definition für bituminöse Sande des KN-Codes 2714 gemäß der Verordnung (EWG) Nr. 2658/87 fallen und
- d) deren Rohstoffquelle durch Bergbau oder thermisch unterstützte Schwerkraftdrainage erschlossen wird, wobei die Wärmeenergie hauptsächlich aus anderen Quellen als der Rohstoffquelle selbst gewonnen wird;
 
- 3. „Ölschiefer“ ist jede Quelle für Raffinerierohstoffe innerhalb einer Felsformation, die festes Kerogen enthält und die unter die Definition für ölhaltigen Schiefer des KN-Codes 2714 gemäß der Verordnung (EWG) Nr. 2658/87 fällt. Die Rohstoffquelle wird durch Bergbau oder thermisch unterstützte Schwerkraftdrainage erschlossen;
- 4. „Ottokraftstoff“ ist jedes flüchtige Mineralöl, das zum Betrieb von Fahrzeugverbrennungsmotoren mit Fremdzündung bestimmt ist und unter die KN-Codes 2710 12 41, 2710 12 45, 2710 12 49, 2710 12 51 und 2710 12 59 fällt;
- 5. „Dieselkraftstoffe“ sind Gasöle, die zum Betrieb von Fahrzeugverbrennungsmotoren mit Selbstzündung bestimmt sind und unter den KN-Code 2710 19 43 oder KN-Code 2710 20 11 fallen und zum Antrieb von Kraftfahrzeugen im Sinn des Kraftfahrgesetzes 1967 verwendet werden;
- 6. „Flüssiggas“ (LPG, Liquefied Petroleum Gas) ist ein mineralölstämmiges Gas, das bei Raumtemperatur bei geringem Druck in flüssiger Form gelagert und gehandhabt werden kann, als Kraftstoff zum Betrieb von Fahrzeugverbrennungsmotoren mit Fremdzündung oder Selbstzündung bestimmt ist und unter die Unterpositionen 2711 12 oder 2711 13 der Kombinierten Nomenklatur fällt;
- 7. „Erdgas“ ist ein Gasgemisch, das zum überwiegenden Teil aus Methan besteht, als Kraftstoff zum Betrieb von Fahrzeugverbrennungsmotoren mit Fremdzündung oder Kompressionszündung entweder in verdichteter Form (CNG, Compressed Natural Gas) eingesetzt wird und unter die Unterposition 2711 21 00 der Kombinierten Nomenklatur fällt oder bei geringem Druck, tiefkalt, in verflüssigter Form (LNG Liquified Natural Gas) eingesetzt wird und unter die Unterposition 2711 11 00 der Kombinierten Nomenklatur fällt;
- 8. „Energie aus erneuerbaren Quellen“ oder „erneuerbare Energie“ ist Energie aus erneuerbaren, nichtfossilen Energiequellen, das heißt Wind, Sonne (Solarthermie und Photovoltaik), geothermische Energie, Umgebungsenergie, Gezeiten-, Wellen- und sonstige Meeresenergie, Wasserkraft und Energie aus Biomasse, Deponiegas, Klärgas und Biogas;
- 9. „Biomasse“ ist der biologisch abbaubare Teil von Produkten, Abfällen und Reststoffen biologischen Ursprungs der Landwirtschaft, einschließlich pflanzlicher und tierischer Stoffe, der Forstwirtschaft und damit verbundener Wirtschaftszweige, einschließlich der Fischerei und der Aquakultur sowie der biologisch abbaubare Teil von Abfällen, darunter auch Industrie- und Haushaltsabfälle biologischen Ursprungs;
- 10. „Biogas“ ist ein gasförmiger Kraftstoff, der aus Biomasse hergestellt wird;
- 11. „Biomethan“ ist ein aus Biomasse mittels Pyrolyse oder Gärung hergestelltes aufgereinigtes Biogas, das in Fahrzeugverbrennungsmotoren als CNG oder LNG in unvermischter Form oder in vermischter Form mit Erdgas eingesetzt wird;
- 12. „Kulturpflanzen mit hohem Stärkegehalt“ sind Pflanzen, unter die überwiegend Getreide ungeachtet dessen, ob nur die Körner oder, wie bei Grünmais, die gesamte Pflanze verwendet wird, Knollen- und Wurzelfrüchte, wie Kartoffeln, Topinambur, Süßkartoffeln, Maniok und Yamswurzeln sowie Knollenfrüchte wie Taro und Cocoyam, fallen;
- 13. „Nahrungs- und Futtermittelpflanzen“ sind Kulturpflanzen mit hohem Stärkegehalt, Zuckerpflanzen oder Ölpflanzen, die als Hauptkulturen auf landwirtschaftlichen Flächen produziert werden, ausgenommen Reststoffe, Abfälle und lignozellulosehaltiges Material, und Zwischenfrüchte wie Zweitfrüchte und Deckpflanzen, es sei denn, die Verwendung solcher Zwischenfrüchte führt zu einer zusätzlichen Nachfrage nach Land;
- 14. „lignozellulosehaltiges Material“ ist Material, das aus Lignin, Zellulose und Hemizellulose besteht, wie Biomasse aus Wäldern, holzartige Energiepflanzen sowie Reststoffe und Abfälle aus der aus der forstbasierten Wirtschaft;
- 15. „zellulosehaltiges Non-Food-Material“ sind Rohstoffe, die überwiegend aus Zellulose und Hemizellulose bestehen und einen niedrigeren Lignin-Gehalt als lignozellulosehaltiges Material haben; es umfasst Reststoffe von Nahrungs- und Futtermittelpflanzen wie Stroh, Spelzen, Hülsen und Schalen, grasartige Energiepflanzen mit niedrigem Stärkegehalt wie Weidelgras, Rutenhirse, Miscanthus und Pfahlrohr, Zwischenfrüchte vor und nach Hauptkulturen, Untersaaten, industrielle Reststoffe, einschließlich Nahrungs- und Futtermittelpflanzen nach Extraktion von Pflanzenölen, Zucker, Stärken und Protein sowie Material aus Bioabfall; als Untersaaten und Deckpflanzen werden vorübergehend angebaute Weiden mit Gras-Klee-Mischungen mit einem niedrigen Stärkegehalt bezeichnet, die zur Fütterung von Vieh sowie dazu dienen, die Bodenfruchtbarkeit im Interesse höherer Ernteerträge bei den Ackerhauptkulturen zu verbessern;
- 16.  „Biokraftstoffe“ sind flüssige Kraftstoffe für den Verkehr, die aus Biomasse hergestellt werden. Unter den Begriff „Biokraftstoffe“ fallen insbesondere nachfolgende Erzeugnisse, sofern diese als Kraftstoff oder Kraftstoffbestandteil zum Betrieb von Fahrzeugverbrennungsmotoren verwendet werden:- a) „Bioethanol“ ist ein aus Biomasse hergestellter unvergällter Ethanol mit einem Alkoholanteil von mindestens 99% v/v.
- b) „Fettsäuremethylester“ (FAME, Biodiesel) ist ein aus pflanzlichen oder tierischen Ölen oder Fetten hergestellter Methylester.
- c) „Biomethanol“ ist ein aus Biomasse hergestellter Methanol.
- d) „Biodimethylether“ ist ein aus Biomasse hergestellter Dimethylether.
- e) „Bio-ETBE“ (Ethyl-Tertiär-Butylether) ist ein auf der Grundlage von Bioethanol hergestellter ETBE mit einem auf den Energiegehalt bezogenen anrechenbaren Anteil aus erneuerbarer Energie von 33%.
- f) „Bio-MTBE“ (Methyl-Tertiär-Butylether) ist ein auf der Grundlage von Biomethanol hergestellter MTBE mit einem auf den Energiegehalt bezogenen anrechenbaren Anteil aus erneuerbarer Energie von 22%.
- g) „Synthetische Biokraftstoffe“ sind aus Biomasse in industriellen Verfahren gewonnene Kohlenwasserstoffe oder Kohlenwasserstoffgemische.
- h) „Biowasserstoff“ ist ein aus Biomasse hergestellter Wasserstoff.
- i) „Reines Pflanzenöl“ ist ein durch Auspressen, Extraktion oder vergleichbare Verfahren aus Ölsaaten gewonnenes, chemisch unverändertes Öl in roher oder raffinierter Form.
- j) „Superethanol E 85“ sind in einem Steuerlager gemäß § 25 Abs. 2 des Mineralölsteuergesetzes 2022, BGBl. Nr. 630/1994, zuletzt geändert durch das Bundesgesetz BGBl. I Nr. 108/2022, hergestellte Gemische, die einen Gehalt an Bioethanol von mindestens 70 % und höchstens 85 % v/v aufweisen.
- k) „Hydrierte pflanzliche oder tierische Öle“ (Hydrotreated Vegetable Oil – HVO) sind in Hydrieranlagen bzw. in CO-Hydrieranlagen aus pflanzlichen oder tierischen Ölen oder Fetten hergestellte Kohlenwasserstoffe.
- l) „Biokraftstoffe und Biomethan, bei denen ein geringes Risiko indirekter Landnutzungsänderungen besteht“ sind Biokraftstoffe, deren Rohstoffe im Rahmen von Systemen hergestellt werden, bei denen die Verdrängungseffekte von aus Nahrungs- und Futtermittelpflanzen produzierten Biokraftstoffen durch verbesserte Landbewirtschaftungsmethoden sowie den Anbau von Kulturpflanzen auf zuvor nicht für den Anbau genutzten Flächen vermieden werden, und die in Einklang mit den in § 12 aufgeführten Nachhaltigkeitskriterien für Biokraftstoffe hergestellt wurden;
- m) „Fortschrittliche Biokraftstoffe“ sind Biokraftstoffe und Biomethan hergestellt aus Rohstoffen gemäß Anhang XIII Teil A;
 
- 17. „Flüssige oder gasförmige erneuerbare Kraftstoffe nicht biogenen Ursprungs“ sind flüssige oder gasförmige im Verkehrssektor eingesetzte Kraftstoffe mit Ausnahme von Biokraftstoffen oder Biomethan, deren Energiegehalt aus erneuerbaren Energiequellen mit Ausnahme von Biomasse stammt;
- 18. „wiederverwertete kohlenstoffhaltige Kraftstoffe“ sind flüssige und gasförmige Kraftstoffe, die aus flüssigen oder festen Abfallströmen nicht erneuerbaren Ursprungs, die für eine stoffliche Verwertung gemäß Artikel 4 der Richtlinie 2008/98/EG nicht geeignet sind, hergestellt werden, sowie aus Gas aus der Abfallverarbeitung und Abgas nicht erneuerbaren Ursprungs, die zwangsläufig und unbeabsichtigt infolge der Produktionsprozesse in Industrieanlagen entstehen;
- 19. „Ladepunkt“ ist eine Schnittstelle, mit der zur selben Zeit entweder nur ein Elektrofahrzeug aufgeladen oder nur eine Batterie eines Elektrofahrzeugs ausgetauscht werden kann;
- 19a. „Ladestation“ ist eine einzige physische Anlage an einem bestimmten Standort, die aus einem oder mehreren Ladepunkten besteht;
- 20. „Energiegehalt“ bezeichnet den unteren Heizwert eines Kraftstoffs, der für den Wirkungsbereich dieser Verordnung in Anhang IX angegeben ist;
- 21. „Kraftstoffbasiswert“ ist jener Wert, der auf der Grundlage der Lebenszyklustreibhausgasemissionen pro Energieeinheit aus fossilen Kraftstoffen im Jahr 2010 berechnet wurde;
- 22. „Lebenszyklustreibhausgasemissionen“ sind sämtliche CO2-, CH4- und N2O-Nettoemissionen, die dem Kraftstoff (einschließlich aller beigemischten Bestandteile) oder dem Energieträger zugeordnet werden können. Dies umfasst alle relevanten Phasen von der Gewinnung, dem Anbau, einschließlich Landnutzungsänderungen, dem Transport und dem Vertrieb bis zur Verarbeitung und Verbrennung, unabhängig vom Ort, an dem die Emissionen auftreten;
- 23. „Treibhausgasemissionen pro Energieeinheit“ sind die Gesamtmasse der kraftstoff- oder energieträgerbedingten Treibhausgasemissionen in CO2-Äquivalent, geteilt durch den Gesamtenergiegehalt des Kraftstoffs oder des Energieträgers (für Kraftstoffe ausgedrückt als „unterer Heizwert“);
- 24. „Upstream-Emissionen“ sind sämtliche Treibhausgasemissionen, die entstanden sind, bevor der Rohstoff in eine Raffinerie oder Verarbeitungsanlage gelangte, in der der in Anhang Xa D genannte Kraftstoff hergestellt wurde;
- 25. „Substitutionsverpflichtete oder Substitutionsverpflichteter“ ist die jeweilige Steuerschuldnerin oder der jeweilige Steuerschuldner nach dem Mineralölsteuergesetz 2022, BGBl. I Nr. 630/1994, zuletzt geändert durch BGBl. I Nr. 108/2022, der Otto- oder Dieselkraftstoffe erstmals im Bundesgebiet in den verbrauchsteuerrechtlichen freien Verkehr bringt oder in das Bundesgebiet in den verbrauchsteuerrechtlichen freien Verkehr verbringt oder verwendet, außer im Kraftstoffbehälter des Fahrzeugs sowie die jeweilige Abgabenschuldnerin oder der jeweilige Abgabenschuldner gemäß § 4 Erdgasabgabegesetz BGBl. Nr. 201/1996, zuletzt geändert durch BGBl. I Nr. 63/2022, von der oder von dem gasförmige Kraftstoffe an Kraftfahrzeuge abgegeben werden;
- 26. „Abfälle“ sind Stoffe nach Definition gemäß § 2 Abfallwirtschaftsgesetz 2002, BGBl. I Nr. 102/2002, zuletzt geändert durch das BGBl. I Nr. 8/2021. Stoffe, die absichtlich verändert oder kontaminiert wurden, um dieser Definition zu entsprechen, fallen nicht unter diese Begriffsbestimmung;
- 27. „Bioabfälle“ sind biologisch abbaubare Garten- und Parkabfälle, Nahrungsmittel- und Küchenabfälle aus Haushalten, Büros, Gaststätten, Großhandel, Kantinen, Cateringgewerbe und aus dem Einzelhandel sowie vergleichbare Abfälle aus Nahrungsmittelverarbeitungsbetrieben;
- 28. „Reststoff “ ist ein Stoff, der kein Endprodukt ist, dessen Produktion durch den Produktionsprozess unmittelbar angestrebt wird; er stellt nicht das primäre Ziel des Produktionsprozesses dar, und der Prozess wurde nicht absichtlich geändert, um ihn zu produzieren;
- 29. „Reststoffe aus Landwirtschaft, Aquakultur, Fischerei und Forstwirtschaft“ sind Reststoffe, die unmittelbar in der Landwirtschaft, Aquakultur, Fischerei und Forstwirtschaft entstanden sind; sie umfassen keine Reststoffe aus damit verbundenen Wirtschaftszweigen oder aus der Verarbeitung;
- 30. „Tatsächlicher Wert“ ist die Einsparung an Treibhausgasemissionen bei einigen oder allen Schritten eines speziellen Biokraftstoff-Herstellungsverfahrens, berechnet gemäß der im Anhang X Teil C dargestellten Methode;
- 31. „Typischer Wert“ ist der Schätzwert der Treibhausgasemissionen und der entsprechenden Treibhausgaseinsparung bei einem bestimmten Produktionsweg für Biokraftstoffe;
- 32. „Standardwert“ ist der von einem typischen Wert durch Anwendung vorab festgelegter Faktoren abgeleitete Wert, der unter den in § 19 festgelegten Bedingungen anstelle eines tatsächlichen Werts verwendet werden kann;
- 33. „CDM-Register“ ist das Clean Developement Mechanism Register gemäß Artikel 12 des Kyoto-Protokolls, BGBl. III Nr. 89/2005, und dient der Erzeugung von Zertifikaten aus Klimaschutzprojekten des Clean Developement Mechanism (CDM);
- 34. „Betriebszustand“ ist ein von den Betrieben im Rahmen der Registrierung eingebrachter definierter Satz an Variablen für einen Produktionsprozess von Biokraftstoffen, der insbesondere auch die Art der Energieversorgung der Produktionsanlage, den eingesetzten Rohstoff sowie anlagen- und prozessspezifische Parameter wie Energieverbrauch und Energie- und Stoffströme umfasst. Ein Betrieb kann im Rahmen der Registrierung mehrere Betriebszustände definieren;
- 35. „Anbieterin oder Anbieter“ ist, wer Kraftstoff oder Energie an eine Verbraucherin oder einen Verbraucher abgibt;
- 36.  „Begünstigte“ sind natürliche oder juristische Personen, die zur Stromanrechnung nach dieser Verordnung grundsätzlich berechtigt sind. Das sind:- a) für Strommengen aus öffentlich zugänglichen Ladepunkten im Bundesgebiet gemäß § 2 Z 6 des Bundesgesetzes zur Festlegung einheitlicher Standards beim Infrastrukturaufbau für alternative Kraftstoffe (BGBl. I Nr. 38/2018, zuletzt geändert durch BGBl. I Nr. 150/2021) die wirtschaftlich, technisch oder rechtlich die Hauptverantwortung haltende Ladestationsbetreiberinnen oder Ladestationsbetreiber;
- b) für Strommengen von nicht-öffentlich zugänglichen Ladepunkten im Bundesgebiet, bei denen eine nachweisliche Zuordnung zu elektrisch betriebenen Kraftfahrzeugen möglich ist, jene natürliche oder juristische Person, auf die im Berichtsjahr für den Zeitraum der Einreichung der Strommengen durch die Antragsberechtigten nachweislich diese elektrisch betriebenen Kraftfahrzeuge zugelassen waren und von denen nachweislich gemessene oder pauschalierte Strommengen im Bundesgebiet an diese elektrisch betriebenen Kraftfahrzeuge abgegeben wurden;
- c) für Strommengen von halb-öffentlich zugänglichen Ladepunkten im Bundesgebiet, bei denen keine nachweisliche Zuordnung von elektrisch betriebenen Kraftfahrzeugen möglich ist, jene wirtschaftlich, technisch oder rechtlich die Hauptverantwortung haltende juristische Person, die im Berichtsjahr nachweislich messbare Strommengen im Bundesgebiet an elektrisch betriebene Kraftfahrzeuge für gewerblichen Zwecke an einen eingeschränkten Nutzerkreis abgegeben hat;
 
- 37. „Antragsberechtigte oder Antragsberechtigter für Strommengen“ ist eine bei der Umweltbundesamt GmbH nach § 14 Abs. 6a registrierte natürliche oder juristische Person, die zumindest eine öffentliche oder halb-öffentliche Ladestation für elektrische Kraftfahrzeuge im Bundesgebiet betreibt;
- 38. „Freiwillige Zertifizierungssyteme“ sind Systeme, die von der Europäischen Kommission gemäß Artikel 30 Abs. 4 der Richtlinie (EU) 2018/2001 , ABl. Nr. L 328 vom 21.12.2018 S. 82 zugelassen werden;
- 39: „Zertifizierungsstellen“ sind unabhängige akkreditierte oder anerkannte Konformitätsbewertungsstellen, die mit einem freiwilligen oder nationalen System eine Vereinbarung über die Erbringung von Zertifizierungsdiensten für Rohstoffe oder Brennstoffe schließen, indem sie Audits bei Wirtschaftsteilnehmerinnen oder bei Wirtschaftsteilnehmern durchführen und Zertifikate im Namen der freiwilligen Systeme unter Verwendung des Zertifizierungssystems des freiwilligen Systems ausstellen;
- 40. „Meldepflichtige oder Meldepflichtiger“ ist die Substitutionsverpflichtete oder der Substitutionsverpflichtete bzw. wer Kraftstoffe gemäß § 3 Abs. 1 oder andere Energieträger für den Einsatz im Verkehrsbereich erstmals im Bundesgebiet in den verbrauchsteuerrechtlichen freien Verkehr bringt oder in das Bundesgebiet in den verbrauchsteuerrechtlichen freien Verkehr verbringt oder verwendet, außer im Kraftstoffbehälter des Fahrzeuges. Ausgenommen davon sind Hersteller von Biokraftstoffen in Anlagen, die der Selbstversorgung landwirtschaftlicher Betriebe dienen, soweit diese Kraftstoffe ausschließlich in landwirtschaftlichen Betrieben im Steuergebiet verwendet werden. Die Meldepflichtige oder der Meldepflichtige ist nur unter den in Z 25 genannten Voraussetzungen Substitutionsverpflichtete oder Substitutionsverpflichteter im Sinne der §§ 5 und 6;
- 41. „elNa“ – elektronischer Nachhaltigkeitsnachweis – ist das elektronische nationale Biokraftstoffregister, welches von der Umweltbundesamt GmbH betrieben wird und für alle Zwecke des Monitorings von im Bundesgebiet im Straßenverkehr eingesetzter Energie und insbesondere auch der lückenlosen Erfassung der Nachhaltigkeitskriterien von Biokraftstoffen dient;
- 42. „Kombinierte Nomenklatur“ (KN) ist die Warennomenklatur gemäß der Verordnung (EWG) Nr. 2658/87 vom 23. Juli 1987über die zolltarifliche und statistische Nomenklatur sowie über den Gemeinsamen Zolltarif, ABl. Nr. L 256 vom 07.09.1987 S. 1, zuletzt geändert durch die Durchführungsverordnung (EU) 2022/1638, ABl. Nr. L 247 vom 23.09.2022 S. 67, Unterpositionen der Kombinierten Nomenklatur sind die gemeinschaftlichen Unterteilungen der Positionen dieser Nomenklatur.“
3. § 3 Abs. 1 Z 1 und 2 lautet:
- „1. Ottokraftstoffe mit einem Bioethanolgehalt von maximal 5% v/v den Spezifikationen gemäß Anhang I sowie ÖNORM EN 228 „Kraftstoffe für Kraftfahrzeuge – Unverbleite Ottokraftstoffe – Anforderungen und Prüfverfahren“ vom 15. September 2020;
- 2. Ottokraftstoffe mit einem Bioethanolgehalt von maximal 10 % v/v den Spezifikationen gemäß Anhang II sowie ÖNORM EN 228 „Kraftstoffe für Kraftfahrzeuge – Unverbleite Ottokraftstoffe – Anforderungen und Prüfverfahren“ vom 15. September 2020;“
4. § 3 Abs. 2 entfällt.
5. § 5 lautet:
„§ 5. (1) Substitutionsverpflichtete, die Ottokraftstoff in den verbrauchsteuerrechtlichen freien Verkehr bringen, haben, bezogen auf den Energiegehalt, zumindest einen Anteil von 3,4% Biokraftstoffen pro Jahr im Bundesgebiet in den verbrauchsteuerrechtlichen freien Verkehr zu bringen oder zu verwenden. Der Anteil wird am gesamten von der Substitutionsverpflichteten oder vom Substitutionsverpflichteten erstmals im Bundesgebiet in den verbrauchsteuerrechtlichen freien Verkehr gebrachten oder verwendeten fossilen oder nicht nachhaltigem aus Biomasse hergestellten Ottokraftstoff gemessen.
(2) Substitutionsverpflichtete, die Dieselkraftstoff in den verbrauchsteuerrechtlichen freien Verkehr bringen, haben, bezogen auf den Energiegehalt, zumindest einen Anteil von 6,3% Biokraftstoffen pro Jahr im Bundesgebiet in den verbrauchsteuerrechtlichen freien Verkehr zu bringen oder zu verwenden. Der Anteil wird am gesamten von der Substitutionsverpflichteten oder vom Substitutionsverpflichteten erstmals im Bundesgebiet in den verbrauchsteuerrechtlichen freien Verkehr gebrachten oder verwendeten fossilen oder nicht nachhaltigem aus Biomasse hergestellten Dieselkraftstoff gemessen.“
6. Die Überschrift zu § 6 lautet:
„Einsatz von fortschrittlichen Biokraftstoffen und Biomethan“
7. § 6 Abs. 1 lautet:
„(1) Die Substitutionsverpflichteten, die fossile flüssige oder fossile gasförmige Kraftstoffe in das Bundesgebiet in den verbrauchsteuerrechtlichen freien Verkehr bringen, haben zumindest die folgenden Prozentsätze pro Jahr durch fortschrittliche Biokraftstoffe und Biogas aus Rohstoffen gemäß Anhang XIII Teil A zu substituieren:
- 1. ab dem 1. Jänner 2023: 0,2%,
- 2. ab dem 1 Jänner 2025: 1%,
- 3.  ab dem 1. Jänner 2030: 3,5%.Diese Prozentsätze werden an der gesamten Energiemenge der von der Substitutionsverpflichteten oder von den Substitutionsverpflichteten im Bundesgebiet in den verbrauchsteuerrechtlichen freien Verkehr gebrachten oder verwendeten fossilen oder nicht nachhaltigen aus Biomasse hergestellten Otto- und Dieselkraftstoffe und/oder des fossilen Erdgases oder nicht nachhaltigem Biomethan gemessen.“ 
8. § 6 Abs. 2 bis 4 entfällt.
9. § 7 Abs. 1 lautet:
„(1) Die Meldepflichtigen haben die Lebenszyklustreibhausgasemissionen pro Energieeinheit ihrer erstmals im Verpflichtungsjahr im Bundesgebiet in den verbrauchsteuerrechtlich freien Verkehr gebrachten oder in das Bundesgebiet verbrachten oder verwendeten Kraftstoffe oder des Energieträgers für den Einsatz im Verkehrsbereich gegenüber dem Kraftstoffbasiswert von 94,1 CO2-Äquivalent in g/MJ stufenweise wie folgt zu senken:
- 1. Ab dem Jahr 2023 um: 6,0%,
- 2. Ab dem Jahr 2024 um: 7,0%,
- 3. Ab dem Jahr 2025 um: 7,5%,
- 4. Ab dem Jahr 2026 um: 8%,
- 5. Ab dem Jahr 2027 um: 9%,
- 6. Ab dem Jahr 2028 um: 10%,
- 7. Ab dem Jahr 2029 um: 11%,
- 8. Ab dem Jahr 2030 um: 13%.“
10. § 7a Abs. 1 lautet:
„(1) Die Erfüllung der Verpflichtungen nach den §§ 5und 7 kann teilweise, die Erfüllung der Verpflichtungen nach § 6 kann teilweise oder ganz per Vertrag auf Dritte übertragen werden, wobei die Ziele gemäß den §§ 5und 7 überwiegend durch den Substitutionspflichteten oder die Substitutionsverpflichtete selbst zu erfüllen sind. Die durch Dritte zu diesem Zweck eingesetzten Biokraftstoffe, Biomethan und erneuerbare Kraftstoffe nicht biogenen Ursprungs müssen dabei im Verpflichtungsjahr im Bundesgebiet in den verbrauchsteuerrechtlichen freien Verkehr gebracht werden und den Bestimmungen der §§ 8, 9, 12 und 13 entsprechen. Dritte können unter Einhaltung der Bestimmungen gemäß § 11 jene Strommengen aus erneuerbarer Energie übertragen, die im Verpflichtungsjahr als Antrieb für elektrisch betriebene Kraftfahrzeuge im Bundesgebiet abgegeben wurden“
11. In § 7a Abs. 2 entfällt die Wortfolge „der eigenen Verpflichtung des Dritten oder“.
12. § 7a Abs. 6 lautet:
„(6) Sofern eine Bestätigung der Umweltbundesamt GmbH bezüglich der Höhe der übertragbaren Mengen an Biokraftstoffen, Biomethan, erneuerbare Kraftstoffe nicht biogenen Ursprungs, Elektrizität aus erneuerbaren Energiequellen gemäß § 11 und/oder Mengen an verminderten Treibhausgasemissionen vorliegt, können diese Mengen in elNa vom 1. September bis zum 30. September des dem Berichtsjahr folgenden Jahres auf Dritte übertragen werden.“
13. Dem § 7a wird folgender Abs. 8 angefügt:
„(8) Liegt eine positive Betätigung gemäß Abs. 5 Z 2 betreffend die Erfüllung der Verpflichtungen gemäß den §§ 5,6 und 7 vor, so werden darüberhinausgehende Mengen an verminderten Treibhausgasemissionen, die auf die Ziele gemäß § 7 anrechenbar sind und/oder energetische Mengen an Biokraftstoffen und/oder fortschrittlichen Biokraftstoffen für die Anrechenbarkeit auf die Ziele gemäß den §§ 5 und 6, in den Berichtsjahren 2023 bis einschließlich 2028 in elNa in das folgende Berichtsjahr übertragen. Diese Übertragung erfolgt unter der Bedingung, dass die verminderten Mengen an Treibhausgasemissionen bzw. energetischen Mengen von fortschrittlichen Biokraftstoffen nicht bereits gemäß Abs. 6 von Dritten oder auf Dritte übertragen wurden und von den Berichtspflichtigen selbst im Berichtsjahr in Verkehr gebracht wurden. Diese Emissionsmengen und/oder energetischen Mengen werden im darauffolgenden Berichtsjahr auf die Erfüllung der Ziele nach den §§ 6 und 7 angerechnet.“
14. Die Überschrift zu § 8 lautet:
„Anrechenbarkeit von erneuerbaren Kraftstoffen und Upstream Emissionsreduktionen“
15. § 8 Abs. 1 bis 5 lautet:
„(1) Biokraftstoffe und Biomethan, unabhängig davon, ob die Ausgangsstoffe innerhalb oder außerhalb der Europäischen Union erzeugt wurden, werden auf die Erfüllung von Verpflichtungen gemäß den §§ 5, 6 und 7 angerechnet, wenn die Anforderungen gemäß § 12 zum Zeitpunkt des Inverkehrbringens durch die Substitutionsverpflichtete oder den Substitutionsverpflichteten erfüllt worden sind und diesbezüglich ein Nachhaltigkeitsnachweis gemäß § 13 oder § 17 vorliegt.
(2) Für Biokraftstoffe und Biomethan, hergestellt aus Abfällen, Reststoffen aus land- oder forstwirtschaftlicher Produktion einschließlich der Fischerei oder von Aquakulturen, aus Reststoffen aus der Verarbeitung, aus zellulosehaltigem Non-Food-Material oder lignozellulosehaltigem Material, gilt Folgendes:
- 1. Biokraftstoffe und Biomethan aus Reststoffen können als solche angerechnet werden, sofern die gemäß § 2 Z 28 und 29 definierten Bedingungen erfüllt sind.
- 2. Biokraftstoffe und Biomethan aus Abfällen können auf die Verpflichtungen angerechnet werden, sofern die gemäß § 2 Z 26 definierten Bedingungen erfüllt sind und sie den Bestimmungen bezüglich Abfallhierarchie und ihrer Bestimmungen zum Lebenszykluskonzept hinsichtlich der allgemeinen Auswirkungen der Erzeugung und Bewirtschaftung der verschiedenen Abfallströme gemäß Abfallwirtschaftsgesetz 2002, BGBl. I Nr. 102/2002, in der Fassung des Bundesgesetzes BGBl. I Nr. 200/2021, entsprechen.
(3) Zur Anrechnung von Biokraftstoffen und Biomethan gemäß Abs. 2 sowie Kraftstoffen aus Rohstoffen gemäß Anhang XIII Teil A auf die Verpflichtungen nach den §§ 5, 6 und 7 bedarf es für jeden spezifischen Ausgangsstoff oder im Fall von Kraftstoffen gemäß § 2 Z 17, für jeden dieser Kraftstoffe eines entsprechenden Nachweises über die Beschaffenheit, über die Herkunft, über die Verarbeitung des Ausgangsstoffs und über den Herstellungsweg des Kraftstoffs, der mittels Antrag an die Umweltbundesamt GmbH zu übermitteln ist. Nach positiver Prüfung des Nachweises können derartige Kraftstoffe auf die entsprechenden Ziele angerechnet werden. Die Anrechenbarkeit kann eine zeitliche, regionale und mengenmäßige Beschränkung für den jeweiligen Ausgangsstoff oder Kraftstoff enthalten. Die Umweltbundesamt GmbH hat das zu verwendende Muster für einen derartigen Antrag zu veröffentlichen. Werden die Voraussetzungen für die Anrechenbarkeit von Biokraftstoffen und anderen erneuerbaren Kraftstoffen gemäß Abs. 1 bis 3 nach Prüfung durch die Umweltbundesamt GmbH nicht erfüllt, ist der Antrag per Bescheid durch die Bundesministerin für Klimaschutz, Umwelt, Energie, Mobilität, Innovation und Technologie abzulehnen.
(4) Der Beitrag von Biokraftstoffen und Biomethan, die aus Getreide und sonstigen Kulturpflanzen mit hohem Stärkegehalt, Zuckerpflanzen, Ölpflanzen und aus als Hauptkulturen vorrangig für die Energiegewinnung auf landwirtschaftlichen Flächen angebauten Pflanzen hergestellt werden, wird gemäß § 7 mit maximal 7 % des Endenergieverbrauchs im Verkehrssektor berücksichtigt. Das gilt nicht für Biokraftstoffe, die aus den in Anhang XIII aufgeführten Rohstoffen hergestellt werden.
(5) Für Biokraftstoffe und Biomethan, hergestellt aus Rohstoffen, die ein hohes Risiko indirekter Landnutzungsänderung aufweisen und die gemäß Artikel 3 der delegierten Verordnung (EU) 2019/807 zur Ergänzung der Richtlinie (EU) 2018/2001 im Hinblick auf die Bestimmung der Rohstoffe mit hohem Risiko indirekter Landnutzungsänderungen, in deren Fall eine wesentliche Ausdehnung der Produktionsflächen auf Flächen mit hohem Kohlenstoffbestand zu beobachten ist, und die Zertifizierung von Biokraftstoffen, flüssigen Biobrennstoffen und Biomasse-Brennstoffen mit geringem Risiko indirekter Landnutzungsänderungen, ABl. Nr. L 133 vom 21.05.2019, S. 1, als derartige Rohstoffe eingestuft werden, gilt:
- 1. Ab dem 1. Jänner 2021 ist die maximal anrechenbare Menge für die Erfüllung von Verpflichtungen gemäß den §§ 5, 6 und 7 von Meldepflichtigen auf jene Mengen beschränkt, die von der oder vom jeweiligen Meldepflichtigen im Vergleichszeitraum 2019 im Bundesgebiet zum Zweck der Anrechnung auf die Erfüllung von Verpflichtungen gemäß den §§ 5, 6 und 7 in den steuerrechtlich freien Verkehr gebracht wurden.
- 2. Ab dem 1. Juli 2021 kann kein Beitrag derartiger Biokraftstoffe mehr auf die Erfüllung von Verpflichtungen gemäß den §§ 5, 6 und 7 angerechnet werden.“
16. In § 8 wird Abs. 7 durch folgende Abs. 7 bis 9 ersetzt:
„(7) Energieerzeugnisse mit einem Bioethanolanteil von weniger als 65 % v/v, denen Bioethanol enthaltende Waren der Unterposition 3824 90 97 der Kombinierten Nomenklatur zugesetzt werden, dürfen nicht auf die Erfüllung der Verpflichtungen nach den §§ 5, 6 und 7 angerechnet werden.
(8) Erneuerbare Kraftstoffe nicht biogenen Ursprungs können, sowohl als Kraftstoff als auch als Zwischenprodukt eingesetzt, für die Produktion konventioneller Kraftstoffe auf die Erfüllung der Verpflichtungen gemäß den §§ 5 und 7 angerechnet werden. Als Voraussetzung einer Anrechenbarkeit gilt:
- 1. Eine Minderungsquote an Lebenszyklustreibhausgasemissionen von mindestens 70 % gegenüber dem Referenzwert gemäß § 19 Abs. 4.
- 2.  Für den Anteil an erneuerbarer Elektrizität, die für die Erzeugung von erneuerbaren Kraftstoffen nicht-biogenen Ursprungs für die direkte Erfüllung der Verpflichtungen gemäß den §§ 5 und 7 oder die Verwendung als Zwischenprodukt zur Produktion von Kraftstoffen genutzt wird, wird der durchschnittliche Anteil von Elektrizität aus erneuerbaren Energiequellen im Bundesgebiet, gemessen zwei Jahre vor dem Verpflichtungsjahr, herangezogen. Abweichend davon kann Elektrizität, die aus einer direkten Verbindung mit einer erneuerbaren Elektrizität erzeugenden Anlage stammt und die für die Produktion dieser Kraftstoffe herangezogen wird, in vollem Umfang als erneuerbare Elektrizität angerechnet werden, wenn:- a) die Anlage zur Erzeugung von erneuerbarer Elektrizität nach oder gleichzeitig mit der Anlage den Betrieb aufnimmt, die flüssige oder gasförmige erneuerbare Kraftstoffe für den Verkehr nicht biogenen Ursprungs produziert oder
- b)  die Anlage zur Erzeugung von erneuerbarer Elektrizität nicht an das Netz angeschlossen ist oder zwar an das Netz angeschlossen ist, die betreffende Elektrizität aber nachweislich bereitgestellt wird, ohne Elektrizität aus dem Netz zu entnehmen.Wird die Elektrizität aus dem Netz entnommen, kann diese in vollem Umfang als erneuerbare Elektrizität angerechnet werden, wenn sie ausschließlich mittels erneuerbarer Energiequellen produziert wurde und nachweislich die Eigenschaften erneuerbarer Energie aufweist sowie etwaige sonstige entsprechende Kriterien erfüllt, sodass sichergestellt ist, dass ihre Eigenschaften als erneuerbare Energie nur einmal und nur in einem Endverbrauchssektor geltend gemacht werden. 
 
- 3. Zur Anrechnung von erneuerbaren Kraftstoffen nicht biogenen Ursprungs auf die Verpflichtungen nach den §§ 5 und 7 bedarf es einer entsprechenden nachvollziehbar unabhängig auditierten Dokumentation des Herstellungswegs und eines Nachweises der gemäß Z 2. dafür verwendeten Elektrizität, die mittels Antrag an die Umweltbundesamt GmbH zu übermitteln ist. Der Antrag ist in elektronischer Form nach dem von der Umweltbundesamt GmbH veröffentlichten Muster an die Umweltbundesamt GmbH zu übermitteln. Nach positiver Prüfung des Antrags können derartige Kraftstoffe auf die Ziele nach § 5 und § 7 mit dem Vierfachen des Energiegehalts angerechnet werden. Werden die Voraussetzungen für die Anrechenbarkeit von erneuerbaren Kraftstoffen nicht biogenen Ursprungs gemäß Z 1 und 2. nach Prüfung durch die Umweltbundesamt GmbH nicht erfüllt, ist der Antrag per Bescheid durch die Bundesministerin für Klimaschutz, Umwelt, Energie, Mobilität, Innovation und Technologie abzulehnen.
(9) Für die Anrechnung von Upstream Emissions-Reduktionen (§ 19b) auf die Erfüllung von Verpflichtungen gemäß § 7 gilt :
- 1. Ab dem 1. Jänner 2023 können maximal 1 % angerechnet werden.
- 2. Ab dem 1. Jänner 2024 ist eine Anrechnung nicht mehr zulässig.“
17. § 9 lautet:
„§ 9. (1) Lieferungen von land- und forstwirtschaftlichen Ausgangsstoffen mit einem unterschiedlichen Energiegehalt, die zur Produktion von Biokraftstoffen oder Biomethan bestimmt sind und die Anforderungen gemäß § 12 erfüllen, dürfen zur weiteren Verarbeitung vermischt werden, sofern der Umfang der Lieferungen nach ihrem Energiegehalt angepasst wird.
(2) Biokraftstoffe und/oder Biomethan, die die Anforderungen gemäß § 12 erfüllen und auf die Ziele gemäß §§ 5, 6 und 7 angerechnet werden sollen, dürfen nur dann mit Biokraftstoffen und/oder Biomethan, welche die Bestimmungen gemäß § 12 nicht erfüllen, vermischt werden, wenn durch die Aufzeichnungen mittels Massenbilanzsystems gemäß § 10 eine eindeutige Zuordnung und Verfolgung der Mengen nachhaltiger und nicht nachhaltiger Biokraftstoffe und/oder nachhaltigem und nicht nachhaltigem Biomethan sichergestellt ist.
(3) Biokraftstoffe und Biomethan, die mit unterschiedlichen Nachhaltigkeitseigenschaften gemäß § 12 produziert wurden und die auf die Zielvorgaben nach §§ 5, 6 und 7 angerechnet werden sollen, dürfen nur dann vermischt werden, wenn durch die Aufzeichnungen mittels Massenbilanzsystems gemäß § 10 nachvollziehbar sichergestellt ist, dass die Summe sämtlicher Biokraftstoffe, die dem Gemisch entnommen werden, dieselben Nachhaltigkeitseigenschaften in denselben Mengen hat wie die Summe sämtlicher Biokraftstoffe, die dem Gemisch zugefügt wurden und dass diese Bilanz innerhalb eines Zeitraums von drei Monaten erreicht wird.
(4) Die Treibhausgas-Minderungsquote eines Gemisches von Biokraftstoffen ist als gewichteter Mittelwert der jeweiligen Treibhausgas-Minderungsquoten der einzelnen Biokraftstoffe zu berechnen. Die Treibhausgas-Minderungsquoten dürfen nur dann saldiert werden, wenn alle Mengen an Biokraftstoffen, die dem Gemisch beigefügt wurden, vor der Vermischung die Erfordernisse nach § 12 erfüllt haben.“
18. Der bisherige Text des § 10 erhält die Absatzbezeichnung „(1)“ und lautet:
„(1) Betriebe, die Biokraftstoffe oder Biomethan herstellen, die auf die Ziele gemäß § § 5, 6 und 7 angerechnet werden sollen, oder mit solchen handeln, sind verpflichtet, den lückenlosen Nachweis der Einhaltung der Nachhaltigkeitskriterien durch die Verwendung eines Massenbilanzsystems zu gewährleisten. Das Massenbilanzsystem hat insbesondere folgende Angaben zu enthalten:
- 1. eindeutige Angaben zur Zuordnung von eingekauften Ausgangsstoffen bzw. gehandelten und verkauften Biokraftstoffen zu Verkäufer bzw. Käufer, die eine eindeutige Identifizierung von Käufern und Verkäufern ermöglichen;
- 2. Datum des Ankaufs und des Verkaufs von Biokraftstoffen bzw. Ausgangsstoffen zur Biokraftstoffherstellung;
- 3. Daten zur Art und Menge, zum Erntejahr und zu den Anbauländern der Ausgangsstoffe;
- 4. Angaben zur Nachhaltigkeit der verwendeten Biomasse gemäß § 12;
- 5. gemäß den Bestimmungen des § 12 Abs. 3 einen Wert für das Treibhausgas-Minderungspotenzial des produzierten, gehandelten oder verwendeten Biokraftstoffs;
- 6. im Fall der Verwendung von Standardwerten eine eindeutige Beschreibung des verwendeten Ausgangsstoffs.“
19. Dem § 10 wird folgender Abs. 2 angefügt:
„(2) Bei der Produktion von Biokraftstoffen oder Biomethan sowie von flüssigen oder gasförmigen erneuerbaren Kraftstoffen nicht biogenen Ursprungs sind die Angaben hinsichtlich der Nachhaltigkeitskriterien und der Lebenszyklustreibhausgasemissionen im Einklang mit folgenden Bestimmungen dem Output zuzuordnen und anzupassen:
- 1. Bringt die Verarbeitung der Ausgangsstoffe nur einen Output hervor, wird die Menge des produzierten Kraftstoffs und die entsprechenden Werte der Eigenschaften in Bezug auf die Nachhaltigkeit und die Einsparung der Lebenszyklustreibhausgasemissionen durch Anwendung eines Umrechnungsfaktors angepasst, der das Verhältnis zwischen der Masse des Outputs und der Masse der Ausgangsstoffe zu Beginn des Verfahrens ausdrückt;
- 2. Bringt die Verarbeitung der Ausgangsstoffe mehrere Outputs hervor, ist für jeden Output ein gesonderter Umrechnungsfaktor anzuwenden und eine gesonderte Massenbilanz zugrunde zu legen.“
20. § 11 lautet:
„§ 11. (1) Der erneuerbare Anteil von elektrischem Strom, der durch Letztverbraucherinnen oder Letztverbraucher nachweislich im Verpflichtungsjahr als Antrieb für elektrisch betriebene Kraftfahrzeuge im Bundesgebiet geladen wurde und von Begünstigten gemäß § 2 Z 36 stammt, kann einmalig auf die Verpflichtungen nach den §§ 5 und/oder 7 angerechnet werden. Die entsprechenden spezifischen österreichischen Treibhausgasemissionswerte für elektrischen Strom werden jährlich auf der Homepage der Umweltbundesamt GmbH veröffentlicht.
(2) Anträge zur Anrechnung von Strommengen bei der Umweltbundesamt GmbH sind durch Antragsberechtigte für Strommengen zu stellen. Die Mindestmenge an elektrischem Strom, die zur Anrechnung gebracht werden kann, beträgt 100 000 kWh im spezifischen Berichtsjahr.
(3) Begünstigte können einmal jährlich per Vertrag mit einer Antragsberechtigten oder einem Antragsberechtigten für den Geltungszeitraum von maximal einem Verpflichtungsjahr, zum Zwecke der Anrechenbarkeit dieser Strommenge, die Einreichung gemäß Abs. 8 ihrer, an elektrisch betriebenen Fahrzeuge abgegebene Strommengen, vereinbaren.
(4) Für nachweislich zuordenbare elektrisch betriebene Kraftfahrzeuge (§ 2 Z 36 lit. b) haben die Antragsberechtigten für Strommengen Folgendes sicherzustellen:
- 1. Kopien der Zulassungsscheine der elektrisch betriebenen Kraftfahrzeuge der Begünstigten haben den Antragsberechtigten vorzuliegen;
- 2. die Antragsberechtigten haben sicherzustellen, dass bei Ummeldung des elektrisch betriebenen Kraftfahrzeugs auf eine andere Begünstigte oder einen anderen Begünstigten oder bei Abmeldung des Kraftfahrzeugs, die Antragsberechtigte oder den Antragsberechtigten umgehend informiert werden.
(5) Von den Antragsberechtigten für Strommengen sind für alle gemäß Abs. 8 eingereichten Strommengen, ab dem Zeitpunkt der Einreichung der Daten gemäß Abs. 8, die zu Grunde liegenden Daten der Einreichung der Strommengen in einer Datenbank für die Dauer von drei Jahren aufzubewahren und im Fall einer Kontrolle gemäß § 18 zugänglich zu machen.
(6) Als Anteil an erneuerbarer Elektrizität für die Anrechnung gemäß Abs. 1 wird dabei der durchschnittliche Anteil von Elektrizität aus erneuerbaren Energiequellen von im Bundesgebiet bereitgestelltem elektrischen Strom, gemessen zwei Jahre vor dem Verpflichtungsjahr, herangezogen.
(7) Abweichend von Abs. 6, kann Elektrizität unter folgenden Voraussetzungen in vollem Umfang als erneuerbare Elektrizität angerechnet werden:
- 1. Die Elektrizität hat aus einer direkten Verbindung mit einer erneuerbaren Elektrizität erzeugenden Anlage zu stammen;
- 2. die Stromerzeugung darf weder unmittelbar noch mittelbar an ein Stromnetz angeschlossen sein;
- 3. die Leistung der Anlage hat mindestens fünf Kilowattpeak aufzuweisen;
- 4. die Strommenge muss nachweislich gemessen für den Antrieb von Kraftfahrzeugen bereitgestellt werden,
(8) Soll der erneuerbare Anteil von Strom, der nachweislich im Verpflichtungsjahr gemäß Abs. 1 eingesetzt wurde und auf die Verpflichtungen nach § 5 und § 7 angerechnet werden, so sind im Zeitraum vom 1. Jänner bis zum 1. März des dem Verpflichtungsjahr folgenden Kalenderjahres von der Antragsberechtigten oder vom Antragsberechtigten für Strommengen einmal ein Antrag in elektronischer Form nach dem von der Umweltbundesamt GmbH veröffentlichten Muster an die Umweltbundesamt GmbH zu übermitteln, welcher insbesondere folgende Daten enthält:
- 1.  Für Strommengen, die an öffentlich zugänglichen Ladepunkten abgegeben wurden, sind von den Antragsberechtigten Angaben zu übermitteln:- a) zur eindeutigen Identifizierung des öffentlich zugänglichen Ladepunktes das alphanumerische Identifikationszeichen gemäß § 4a Abs. 2 des Bundesgesetzes zur Festlegung einheitlicher Standards beim Infrastrukturaufbau für alternative Kraftstoffe BGBl. I Nr. 38/2018 idF BGBl. I Nr. 150/2021;
- b) die Adresse des Ladepunktes;
- c) der Zeitraum, in dem die eingereichte Strommenge an elektrisch betriebene Kraftfahrzeuge abgegeben wurde und
- d) für gemessene Strommengen, die durch nachvollziehbare Aufzeichnungen dokumentierte an die Elektrofahrzeuge abgegebene energetische Menge an elektrischem Strom.
 
- 2.  Für Strommengen, die an nicht-öffentlichen Ladepunkten abgegeben wurde, sind folgende Angaben zu übermitteln:- a) Die Fahrzeugidentifikationsnummern,
- b) die Adresse des Ladepunktes, an dem die Fahrzeuge überwiegend geladen werden,
- c) der Zeitraum, in dem die eingereichte Strommenge an elektrisch betriebene Kraftfahrzeuge abgegeben wurde und
- d) für gemessene Strommengen, die durch nachvollziehbare Aufzeichnungen dokumentierte an elektrisch betriebene Kraftfahrzeuge abgegebene energetische Menge an elektrischem Strom. Kann die abgegebene energetische Menge an elektrischem Strom für die Ladung von elektrisch betriebenen Kraftfahrzeugen am Ladepunkt nicht gemessen und nicht gemäß lit. b nachvollziehbar überprüfbar aufgezeichnet werden, so wird pro zweispurigem, vollelektrisch betriebenem Kraftfahrzeug ein pauschal anrechenbarer Betrag von 1.500 kWh pro Jahr angenommen oder ein entsprechend dem Zulassungsdatum des Fahrzeugs reduzierter aliquoter Anteil.
 
- 3.  Für Strommengen, die an halböffentlichen Ladepunkten abgegeben wurden, sind folgende Angaben zu übermitteln:- a) Unterlagen zur eindeutigen Identifizierung des halböffentlichen Ladepunktes insbesondere die Ladepunktnummer;
- b) die Adresse der Ladepunkte;
- c) der Zeitraum, in dem die eingereichte Strommenge an elektrisch betriebene Kraftfahrzeuge abgegeben wurde und
- d) für gemessene Strommengen, die durch nachvollziehbare Aufzeichnungen dokumentierte an die Elektrofahrzeuge abgegebene gemessene energetische Menge an elektrischem Strom.
 
- 4. Die Daten gemäß Z 1, 2 und 3 sind getrennt nach den von der Umweltbundesamt GmbH veröffentlichten Muster zu übermitteln.
- 5.  Soll der Anteil an Elektrizität aus einer Stromerzeugung, die weder unmittelbar noch mittelbar an ein Stromnetz angeschlossen ist, in vollem Umfang als erneuerbare Elektrizität angerechnet werden, so sind folgende Angaben zu übermitteln:- a) Ein eindeutiger Nachweis über die direkte Verbindung des Ladepunktes mit einer erneuerbaren Elektrizität erzeugenden Anlage die weder unmittelbar noch mittelbar an ein Stromnetz angeschlossen ist,
- b) der Standort der Anlage und
- c) eine technische Beschreibung der Stromerzeugungsanlage und der Verbindung zur Ladestation.
 
(8a) Stellt die Umweltbundesamt GmbH einen Mangel in einem Antrag nach Abs. 8 fest, so kann sie der oder dem Antragsberechtigten für Strommengen die Behebung des Mangels innerhalb einer angemessenen Frist mit der Wirkung auftragen, dass der Antrag nach fruchtlosem Ablauf der Frist von der Bundesministerin für Klimaschutz, Umwelt, Energie, Mobilität, Innovation und Technologie zurückgewiesen wird.
(8b) Stellt die Umweltbundesamt GmbH Mehrfachübertragungen von Begünstigten auf Antragsberechtigte oder mehrfache Beantragungen gleicher Strommengen fest, so hat die Behebung dieses Mangels von der Umweltbundesamt GmbH nach Abs. 8a zu erfolgen. Sollte die festgestellte Mehrfachübertragung nach Ablauf der Frist weiter bestehen, wird die einschlägige Menge so aufgeteilt, dass jeder und jedem Antragsberechtigten für Strommengen, die oder der von der Mehrfachübertragung betroffen ist, ein gleicher Anteil der einschlägigen Strommenge zugerechnet wird.
(9) Die Umweltbundesamt GmbH stellt nach positiver Prüfung der übermittelten Unterlagen für die nachvollziehbar abgegebene Menge an aus erneuerbarer Energie erzeugtem elektrischen Strom und die damit verbundenen Lebenszyklustreibhausgasemissionen eine Bescheinigung aus, die in Summe oder in Teilen an nach den §§ 5 und 7 Verpflichteten auf die entsprechenden Ziele gemäß § 7a nach dem von der Umweltbundesamt GmbH veröffentlichten Muster angerechnet werden kann. Die Umweltbundesamt GmbH übermittelt die Daten der positiv geprüften Anträge gesammelt an die Bundesministerin für Klimaschutz, Umwelt, Energie, Mobilität, Innovation und Technologie. Die anrechenbare Menge an aus erneuerbarer Energie erzeugtem elektrischen Strom wird dabei mit dem Vierfachen des Energiegehalts auf das Ziel nach § 7 angerechnet.
(10) Werden die Voraussetzungen für die Anrechenbarkeit von elektrischem Strom nach Prüfung durch die Umweltbundesamt GmbH nicht erfüllt, so übermittelt die Umweltbundesamt GmbH einen begründeten Bericht an die Bundesministerin für Klimaschutz, Umwelt, Energie, Mobilität, Innovation und Technologie, die über den Antrag per Bescheid binnen 6 Monaten ab Antragsstellung entscheidet.“
21. § 12 lautet:
„§ 12. (1) Für Ausgangsstoffe von Biokraftstoffen und Biomethan, die auf die Erfüllung der Verpflichtungen nach den §§ 5, 6 und 7 angerechnet werden sollen, sind die in Anhang XI angeführten Nachhaltigkeitskriterien einzuhalten.
(2) Bei Verwendung landwirtschaftlicher Ausgangsstoffe für nachhaltige Biokraftstoffe und Biomethan gelten die Anforderungen der Verordnung der Bundesministerin für Nachhaltigkeit und Tourismus über nachhaltige landwirtschaftliche Ausgangsstoffe für Biokraftstoffe und flüssige Biobrennstoffe (Nachhaltige landwirtschaftliche Ausgangsstoffe-Verordnung-NLAV), BGBl. II Nr. 124/2018. Bei Verwendung forstwirtschaftlicher Ausgangsstoffe für die Produktion nachhaltiger Biokraftstoffe ist die Erfüllung der Rechtsvorschriften über forstwirtschaftliche Ausgangsstoffe Voraussetzung.
(3) Für Biokraftstoffe und Biomethan, die auf die Ziele gemäß den §§ 5, 6 und 7 angerechnet werden sollen, gilt Folgendes:
- 1. Für Biokraftstoffe und Biomethan, die in Anlagen erzeugt werden, die nach dem 5. Oktober 2015 in Betrieb gegangen sind, gilt eine Minderungsquote an Lebenszyklustreibhausgasemissionen von mindestens 60 % gegenüber dem Referenzwert gemäß § 19 Abs. 4.;
- 2. Für Biokraftstoffe und Biomethan, die in Anlagen erzeugt werden, die am 5. Oktober 2015 oder davor in Betrieb waren, ist eine Minderungsquote an Lebenszyklustreibhausgasemissionen von mindestens 50 % zu erfüllen gegenüber dem Referenzwert gemäß § 19 Abs. 4.;
- 3. Für Biokraftstoffe und Biomethan, die in Anlagen hergestellt werden, die den Betrieb ab dem 1. Jänner 2021 aufgenommen haben, ist eine Minderungsquote an Lebenszyklustreibhausgasemissionen von 65 % gegenüber dem Referenzwert gemäß § 19 Abs. 4. zu erfüllen;
- 4. Die Berechnung der durch die Verwendung von Biokraftstoffen und Biomethan erzielten Einsparung bei den Lebenszyklustreibhausgasemissionen erfolgt gemäß § 19.
(4) Biokraftstoffe und Biomethan gelten nur dann als nachhaltig, wenn diese Biokraftstoffe oder der entsprechende Nachweis ihrer Nachhaltigkeit gemäß § 13 noch nicht in einem anderen Mitgliedstaat auf die Verpflichtung gemäß Art. 25 Abs. 1 der Richtlinie (EU) 2018/2001 zur Förderung der Nutzung von Energie aus erneuerbaren Quellen angerechnet wurden.“
22. § 13 Abs. 1 und 2 lautet:
„(1) Die Nachhaltigkeit von Biokraftstoffen und Biomethan ist mittels Nachhaltigkeitsnachweis nachzuweisen und zu dokumentieren.
(2) Betriebe, die im Bundesgebiet Biokraftstoffe oder Biomethan herstellen und denen keine weiteren Betriebe zur Biokraftstoff- oder Biomethanherstellung nachgelagert sind und die die Nachhaltigkeit ihrer produzierten Biokraftstoffe und/oder des produzierten Biomethans nicht ausschließlich mit einem Nachhaltigkeitssystem gemäß § 17 Abs. 3 nachweisen, dürfen für die hergestellten Biokraftstoffe und/oder Biomethan Nachhaltigkeitsnachweise ausstellen, sofern
- 1. sich diese Betriebe bei der Umweltbundesamt GmbH gemäß § 14 registriert haben und
- 2.  in Hinblick auf die verwendeten Ausgangsstoffe folgende Voraussetzungen vorliegen:- a) Für landwirtschaftliche Ausgangsstoffe sind die Anforderungen der Verordnung der Bundesministerin für Nachhaltigkeit und Tourismus über nachhaltige landwirtschaftliche Ausgangsstoffe für Biokraftstoffe und flüssige Biobrennstoffe (Nachhaltige landwirtschaftliche Ausgangsstoffe-Verordnung-NLAV), BGBl. II Nr. 124/2018, insbesondere hinsichtlich der Nachhaltigkeit, zu erfüllen.
- b) Bei Verwendung forstwirtschaftlicher Ausgangsstoffe für die Produktion nachhaltiger Biokraftstoffe ist die Erfüllung der Rechtsvorschriften über forstwirtschaftliche Ausgangsstoffe Voraussetzung.
- c) Für nicht land- oder forstwirtschaftliche Ausgangsstoffe muss ein durch die Umweltbundesamt GmbH anerkannter gleichwertiger Nachweis über die Einhaltung der Nachhaltigkeitskriterien gemäß Art. 29 der Richtlinie /(EU) 2018/2001 und Art. 7b der Richtlinie 98/70/EG erbracht werden. Dieser Nachweis hat jedenfalls eine eindeutige Identifikation des eingesetzten Ausgangsstoffs zu ermöglichen sowie gegebenenfalls im Einzelfall durch die Umweltbundesamt GmbH festzulegende weitere Angaben zu enthalten, die für eine Beurteilung der Einhaltung der Nachhaltigkeitskriterien gemäß Art. 29 der Richtlinie /(EU) 2018/2001 und Art. 7b der Richtlinie 98/70/EG notwendig sind.“
 
23. § 13 Abs. 5 lautet:
„(5) Für Biokraftstoffe und Biomethan, die aus Abfall oder Reststoffen, mit Ausnahme von land- oder forstwirtschaftlichen Reststoffen und Reststoffen aus Fischerei und Aquakulturen, hergestellt worden sind und den in § 8 Abs. 2 Z 1 und 2 genannten Bedingungen entsprechen, entfällt der Nachweis über die Einhaltung der Nachhaltigkeitskriterien für die Ausgangsstoffe.“
24. § 13 Abs. 6 Z 1 lautet:
- „1. den Namen und die Anschrift des ausstellenden Betriebs, der Biokraftstoffe oder Biomethan herstellt,“
25. § 13 Abs. 6 Z 5 und 6 lautet:
- „5. die durch die Umweltbundesamt GmbH vergebene Registrierungsnummer oder Angaben zur Kontrollstelle, die den Nachhaltigkeitsnachweis bestätigt hat und/oder die Angabe zu einem freiwilligen System gemäß Art. 30 Abs. 4 oder 6 der Richtlinie (EU) 2018/2001 und Art. 7c Abs. 4 und 6 der Richtlinie 98/70/EG ,
- 6. die Menge und die Art der Biokraftstoffe und/oder Biomethan, auf die sich der Nachhaltigkeitsnachweis bezieht,“
26. § 13 Abs. 6 Z 8 lit. b bis d lautet:
- „b) die gesamten und disaggregierten Lebenszyklustreibhausgasemissionen in Gramm CO2-Äquivalent pro Megajoule Biokraftstoff und/oder Biomethan (g CO2eq/MJ) in Form eines Standardwerts oder eines tatsächlichen Werts,
- c) für Biokraftstoffe und Biomethan, die nicht in Anhang IX angeführt sind, den Energiegehalt in Megajoule,
- d) den Namen und die Anschrift des Käufers der Biokraftstoffe und/oder des Biomethans,“
27. In § 13 Abs. 6 wird der Z 8 folgende lit. h angefügt:
- „h) im Falle, dass bei der Produktion von Biokraftstoffen und/oder Biomethan eine Förderung gewährt wurde, Angaben zur Art der Förderregelung“
28. § 13 Abs. 8 Z 1 und 2 lautet:
- „1. Die Umweltbundesamt GmbH stellt für Teilmengen von im Bundesgebiet produzierten oder in das Bundesgebiet importierten Biokraftstoffen und/oder Biomethan, für die bereits ein Nachhaltigkeitsnachweis ausgestellt worden ist, auf Antrag des Inhabers des Nachhaltigkeitsnachweises Nachhaltigkeits-Teilnachweise in elNa aus. Der Antragsteller hat sich vorab gemäß § 14 Abs. 6 einer vereinfachten Registrierung zu unterziehen. Die Nachhaltigkeits-Teilnachweise werden nach Vorlage des Nachhaltigkeitsnachweises, der in Teilnachweise aufgeteilt werden soll, ausgestellt. Die Nummer des ursprünglichen Nachhaltigkeitsnachweises ist zu stornieren, die Nachhaltigkeits-Teilnachweise haben neue Nummern zu erhalten, die mit der ursprünglichen Nachhaltigkeitsnummer auf den neuen Nachhaltigkeits-Teilnachweisen aufzuscheinen haben.
- 2. Der Inhalt der Nachhaltigkeits-Teilnachweise hat Abs. 6 zu entsprechen. Nachhaltigkeits-Teilnachweise sind nach dem von der Umweltbundesamt GmbH veröffentlichten Muster in elNa auszustellen.“
29. § 14 Abs. 1 und 2 lautet:
„(1) Betriebe, die Biokraftstoffe oder Biomethan produzieren und die im Bundesgebiet Nachhaltigkeitsnachweise ausstellen, können sich bei der Umweltbundesamt GmbH registrieren lassen. Die Registrierung erfolgt elektronisch über elNa. Im Rahmen der Registrierung prüft die Umweltbundesamt GmbH für die vom Betrieb eingebrachten definierten Betriebszustände die Erfüllung der Anforderungen des Betriebs zur Ausstellung von Nachhaltigkeitsnachweisen.
(2) Teil der Registrierung ist eine von der Umweltbundesamt GmbH durchzuführende Schulung der Betriebe, insbesondere bezüglich der Verwendung von elNa.“
30. § 14 Abs. 6 bis 8 lautet:
„(6) Betriebe, die nach § 2 Z 40 meldepflichtig sind oder die Biokraftstoffe und/oder Biomethan im Bundesgebiet produzieren und die Nachhaltigkeit ihrer gesamten produzierten Biokraftstoffe und/oder des produzierten Biomethans ausschließlich mit einem Nachhaltigkeitssystem gemäß § 17 Abs. 3 nachweisen sowie Betriebe, die Kraftstoffe handeln, die im Bundesgebiet in den verbrauchsteuerrechtlichen freien Verkehr gebracht werden, haben sich bei der Umweltbundesamt GmbH einer vereinfachten Registrierung zu unterziehen. Teil der vereinfachten Registrierung ist eine von der Umweltbundesamt GmbH durchzuführende Schulung der Betriebe, insbesondere bezüglich der Verwendung von elNa. Mit der vereinfachten Registrierung erhält jeder Betrieb eine eindeutige Registrierungsnummer. Änderungen, die Firmendaten betreffen, sind der Umweltbundesamt GmbH in ausreichend dokumentierter Form unverzüglich schriftlich zur Kenntnis zu bringen. Voraussetzungen für eine Registrierung und vereinfachte Registrierung ist eine Zertifizierung aller Standorte an denen nachhaltige Biokraftstoffe und/oder Biomethan produziert, gehandelt oder gelagert werden durch ein in Österreich anerkanntes Zertifizierungssystem. Für bereits registrierte Betriebe ist dieser Nachweis bis 1. Jänner 2024 zu erbringen.
(6a) Antragsberechtigte für Strommengen gemäß § 2 Z 37 müssen sich bei der Umweltbundesamt GmbH bis spätestens 31. Jänner des dem Berichtsjahr folgenden Jahres registrieren. Im Rahmen der Registrierung ist nach dem von der Umweltbundesamt GmbH veröffentlichten Muster
- 1. ein Nachweis über den Betrieb mindestens einer öffentlichen oder halb-öffentlichen Ladestation zu erbringen sowie
- 2. eine von der Umweltbundesamt GmbH durchzuführende Schulung zu absolvieren, insbesondere bezüglich der zu verwendenden elektronische Vorlage sowie der Verwendung von elNa.
(7) Eine Zertifizierungsstelle, die von einem in Österreich anerkannten Zertifizierungssystem anerkannt ist und in Österreich Betriebe hinsichtlich der Einhaltung der Anforderungen gemäß den §§ 8, 9, 10, 12 und 13 auditiert, muss sich bei der Umweltbundesamt GmbH registrieren. Voraussetzung für die Registrierung ist der Nachweis einer gültigen Akkreditierung gemäß ÖVE/ÖNORM EN ISO/IEC 17065 „Konformitätsbewertung – Anforderungen an Stellen, die Produkte, Prozesse und Dienstleistungen zertifizieren“ vom 1. Februar 2013 und ÖNORM EN ISO 14065 „Allgemeine Grundsätze und Anforderungen an Validierungs- und Verifizierungsstellen von Umweltinformationen“ vom 15. Februar 2022 sowie ein Nachweis der fachlichen Eignung zur Kontrolle der Nachhaltigkeitsanforderungen gemäß den §§ 8, 9, 10, 12 und 13. Für Zertifizierungsstellen, die bis 31. Dezember 2022 in Österreich Audits gemäß den §§ 8, 9, 10, 12 und 13 durchgeführt haben, hat diese Registrierung bis spätestens 1. Jänner 2024 zu erfolgen.
(8) Die Umweltbundesamt GmbH hat ein Verzeichnis der registrierten Betriebe, der Antragsberechtigten für Strommengen und der Zertifizierungsstellen zu führen und zu veröffentlichen.“
31. § 17 Abs. 3 lautet:
„(3) Nachhaltigkeitsnachweise, die gemäß einem Beschluss der Europäischen Kommission nach Art. 30 Abs. 4 und 6 der Richtlinie (EU) 2018/2001 und Art. 7c Abs. 4 und 6 der Richtlinie 98/70/EG auf Basis freiwilliger nationaler oder internationaler Regelungen die Nachhaltigkeitskriterien gemäß Art. 29 der Richtlinie (EU) 2018/2001 und Art. 7b der Richtlinie 98/70/EG erfüllen, sind nach Prüfung durch die Umweltbundesamt GmbH von dieser anzuerkennen.“
32. § 17 Abs. 4 entfällt.
33. In § 18 Abs. 3 Z 1 wird am Ende ein „.“ eingefügt.
34. § 18 Abs. 3 Z 3 und Z 4 lautet:
- „3. Die Kontrolle der gemäß § 20 übermittelten Daten kann bei den Berichtspflichtigen vor Ort erfolgen.
- 4. Für die Prüfung der Anrechnungsvoraussetzungen gemäß § 11 sind von den Antragsberechtigten für Strommengen (§ 2 Z 37) innerhalb einer angemessenen Frist entsprechende Unterlagen zur Prüfung vorzulegen. Kontrollen hinsichtlich der Einhaltung der Bestimmungen gemäß § 11 können bei den Antragsberechtigten für Strommengen vor Ort durchgeführt werden. Werden im Rahmen der Kontrolle Mängel festgestellt, so ist die entsprechende Antragsberechtigte oder der Antragsberechtigte für Strommengen aufzufordern, diese in angemessener Frist zu beheben. Die Nichtbehebung von festgestellten schweren Mängeln kann einen befristeten oder dauerhaften Entzug der Registrierung nach sich ziehen.“
35. Dem § 18 Abs. 3 wird folgende Z 5 angefügt:
- „5. Für die Kontrolle der Arbeitsweise der Zertifizierungsstelle übermitteln diese auf Antrag der Umweltbundesamt GmbH alle relevanten Informationen, die zur Überwachung der Arbeitsweise erforderlich sind, einschließlich genauer Angaben zu Datum, Uhrzeit und Ort der Durchführung der Audits bei auditierten Unternehmen. Die Kontrolle kann auch vor Ort begleitend im Rahmen eines Audits der Zertifizierungsstelle bei einem Unternehmen erfolgen. Werden im Rahmen der Überprüfung Mängel festgestellt, so ist die entsprechende Zertifizierungsstelle aufzufordern, diese in angemessener Frist zu beheben. Die Nichtbehebung von festgestellten schweren Mängeln kann einen befristeten oder dauerhaften Entzug der Registrierung nach sich ziehen.“
36. § 18 Abs. 4 lautet:
„(4) Die zu kontrollierenden Substitutions-, Berichtspflichtigen, Antragsberechtigten für Strommengen und Zertifizierungsstellen haben die für die Kontrolltätigkeit notwendigen Auskünfte zu erteilen, Einsichtnahme in die Aufzeichnungen zu gewähren, auf Verlangen unentgeltlich Ausdrucke, Kopien oder Datensätze zur Verfügung zu stellen sowie Zutritt zu den Betriebsstätten zu gestatten. Die Überwachungstätigkeit ist während der Betriebszeiten in angemessener Weise durchzuführen.“
37. Dem § 18 werden folgende Abs. 5 und 6 angefügt:
„(5) Sollten bei einer Kontrolle der Umweltbundesamt GmbH ein oder mehrere schwere Mängel nach Abs. 3 festgestellt werden, kann die Bundesministerin für Klimaschutz, Umwelt, Energie, Mobilität, Innovation und Technologie nach Übermittlung des Berichts nach Abs. 1 über den befristeten oder dauerhaften Entzug der Registrierung (Abs. 3 Z 2, Z 4 und Z 5) des oder der Betroffenen per Bescheid binnen 6 Monaten ab dem Tag der Kontrolle entscheiden.
(6) Nach einem rechtskräftigen dauerhaften Entzug der Registrierung ist eine erneute Registrierung möglich, wenn die Umweltbundesamt GmbH nach einer im Vorfeld der Registrierung durchzuführenden Kontrolle keine schweren Mängel feststellt. Sollte die Umweltbundesamt GmbH einer erneuten Registrierung nicht zustimmen, kann der oder die Betroffene einen Antrag auf Entscheidung über die Möglichkeit einer erneuten Registrierung durch die Bundesministerin für Klimaschutz, Umwelt, Energie, Mobilität, Innovation und Technologie per Bescheid stellen.“
38. Die Überschrift zu § 19 lautet:
„Berechnung der Lebenszyklustreibhausgasemissionen von Biokraftstoffen und Biomethan“
39. § 19 Abs. 1 lautet:
„(1) Die durch die Verwendung von Biokraftstoffen und/oder Biomethan erzielte Einsparung bei den Lebenszyklustreibhausgasemissionen wird berechnet
- 1.  unter Verwendung eines Standardwerts sofern- a) ein solcher Wert gemäß Anhang X Teil A oder Teil B für die Treibhausgasemissionseinsparung für den Herstellungsweg festgelegt ist und
- b) der gemäß Anhang X Z 7 errechnete Wert für diese Biokraftstoffe und/oder Biomethan kleiner oder gleich null ist,
 
- 2. unter Verwendung eines gemäß der in Anhang X Teil C festgelegten Methodologie errechneten tatsächlichen Wertes oder
- 3. unter Verwendung eines als Summe der in der Formel in Anhang X Teil C Z 1 genannten Faktoren berechneten Wertes, wobei zum Teil die disaggregierten Standardwerte gemäß Anhang X Teil D und E, zum Teil die nach der Methodologie in Anhang X Teil C errechneten tatsächlichen Werte verwendet werden können.“
40. § 19 Abs. 3 und 4 lautet:
„(3) Für im Bundesgebiet hergestellte Biokraftstoffe und Biomethan, für die keine Standardwerte gemäß Anhang X vorliegen, sind für die Emissionsberechnungen tatsächlichen Werte oder die im Verlautbarungsblatt der Agrarmarkt Austria oder die durch die Umweltbundesamt GmbH veröffentlichten Werte heranzuziehen.
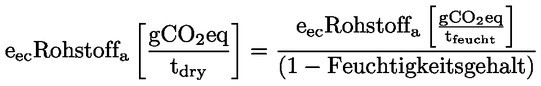
(4) Für die Einhaltung der Bestimmungen gemäß § 12 Abs. 3 ist der Referenzwert von 94 CO2-Äquivalent in g/MJ zu verwenden.“
41. Die Überschrift zu § 19a lautet:
„Berechnung der Treibhausgasintensität der Kraftstoffe und Energieträger von Meldepflichtigen“
42. In § 19a Abs. 2 wird die Wortfolge „Verordnung 684/2009/EG zur Durchführung der Richtlinie 2008/118/EG in Bezug auf die EDV-gestützten Verfahren für die Beförderung verbrauchsteuerpflichtiger Waren unter Steueraussetzung, ABl. Nr. L 194 vom 29.07.2009 S. 24, zuletzt geändert durch die Durchführungsverordnung (EU) 2016/379, ABl. Nr. L 72 vom 17.03.2016 S. 13“ durch die Wortfolge „Verordnung (EU) 2022/1636 der Kommission vom 5. Juli 2022 zur Ergänzung der Richtlinie (EU) 2020/262 des Rates durch Festlegung von Struktur und Inhalt der im Zusammenhang mit der Beförderung verbrauchsteuerpflichtiger Waren ausgetauschten Dokumente und durch Festlegung von Schwellenwerten für Verluste aufgrund der Beschaffenheit der Waren, ABl. Nr. L 247 vom 23.09.2022 S. 2“ ersetzt.
43. § 19a Abs. 3 lautet:
„(3) Die Umrechnung der Kraftstoffmengen in die unteren Heizwerte erfolgt für Biokraftstoff- und Biomethanmengen anhand der in Anhang IX aufgeführten Energiedichten und für Mengen von Kraftstoffen nicht-biogenen Ursprungs anhand der im Anhang Xa Teil B angeführten Werte.“
44. § 19a Abs. 4 lit. a lautet:
- „a) Die Verarbeitung umfasst jede Veränderung während des Lebenszyklus eines gelieferten Kraftstoffs oder Energieträgers, die zu einer Veränderung der Molekularstruktur dieses Erzeugnisses führt. Die Zugabe eines Denaturierungsmittels fällt nicht unter diese Verarbeitung.“
45. § 19a Abs. 4 lit. d lautet:
- „d) Die Menge des gelieferten Biokraftstoffs und/oder Biomethans, die nicht die Nachhaltigkeitskriterien nach § 12 erfüllt, wird als fossiler Kraftstoff gezählt.“
46. § 19a Abs. 6 lit. b und c lautet:
- „b) Die Treibhausgasintensität von Biokraftstoffen und Biomethan, die die Nachhaltigkeitskriterien gemäß § 12 erfüllen, wird gemäß § 19 berechnet. Wurden die Daten zu den Lebenszyklustreibhausgasemissionen entsprechend einer Übereinkunft oder einem System gemäß § 17 Abs. 3 gewonnen, so werden diese Daten auch zur Bestimmung der Treibhausgasintensität dieser Biokraftstoffe herangezogen.
- c) Die Treibhausgasintensität von Biokraftstoffen und Biomethan, die die Nachhaltigkeitskriterien nach § 12 nicht erfüllen, entspricht der Treibhausgasintensität des entsprechenden fossilen, aus konventionellem Rohöl oder -gas gewonnenen Kraftstoffs.“
47. § 19a Abs. 6 lit. e lautet:
- „e) Bei der Berechnung der Treibhausgasintensität gemeinsam verarbeiteter Kraftstoffe nicht-biogenen Ursprungs und von Biokraftstoffen gilt, dass die Treibhausgasintensität von Biokraftstoffen, die zusammen mit fossilen Kraftstoffen verarbeitet werden, den Zustand des Biokraftstoffs nach der Verarbeitung wiedergibt.“
48. § 19b Abs. 1 lautet:
„(1) Upstream Emissions-Reduktionen aus Projekten gemäß § 2 Z 24, die in einem beliebigen Land bei Förderstellen von fossilen Rohstoffen bzw. im Upstream Bereich generiert wurden, können von einem nach § 7 Verpflichteten zur Anerkennung eingereicht und auf die Treibhausgasintensität eines beliebigen Kraftstoffes angerechnet werden. Die Anrechnung von Upstream Emissions-Reduktionen auf die Ziele gemäß § 7 kann erfolgen, wenn
- 1. die Upstream Emissions-Reduktionen nur auf den die Upstream-Emissionen betreffenden Teil der durchschnittlichen Standardwerte für Ottokraftstoff, Diesel, komprimiertes Erdgas (CNG, LNG) oder Flüssiggas (LPG) angewendet werden; die Obergrenzen für die Anrechnung sind gemäß Anhang Xa Teil E zu berechnen und einzuhalten;
- 2. sie mit Projekten in Verbindung stehen, aus denen die ersten Emissions-Reduktionen nachweislich nach dem 1. Januar 2011 generiert wurden und nachweislich im jeweiligen Verpflichtungsjahr erbracht wurden.
- 3.  - a) ein in Österreich positiv beurteilter Projektantrag entsprechend Abs. 2 vorliegt, die Abschätzung und Validierung der Upstream Emissions-Reduktionen im Rahmen dieses Projekts gemäß Abs. 3 durchgeführt wurden und ein positiv beurteilter Anrechnungsantrag gemäß Abs. 5 vorliegt oder
- b) ein Nachweis für Reduktionen aus Upstream Emissionen für das jeweilige Verpflichtungsjahr aus Systemen anderer Mitgliedstaaten der Europäischen Union, die von Österreich anerkannt sind, vorliegt. Dieser Nachweis ist nach Prüfung durch die Umweltbundesamt GmbH von dieser anzuerkennen, wenn dieser Nachweis durch die von der Behörde benannten Stelle, die in diesem Mitgliedstaat für die Nachweisführung zuständig ist, anerkannt ist oder
- c)  wenn Upstream Emissions-Reduktionen aus Projekten stammen, deren zertifizierte Emissionsreduktionen in einem Register entsprechend § 43 des Emissionszertifikategesetzes 2011 – EZG 2011, BGBl. I Nr. 118/2011, in der Fassung des Bundesgesetzes BGBl. I Nr. 128/2015, registriert sind, oder gemäß § 47 Umweltförderungsgesetz – UFG, BGBl. I Nr. 185/1993, in der Fassung des Bundesgesetzes BGBl. I Nr. 114/2020, registriert sind oder deren Löschung im CDM-Register in Form einer vom CDM-Register ausgestellten Löschungsurkunde nachgewiesen wurde; die Löschungsurkunde muss zumindest folgende Informationen enthalten:- aa) Name der betroffenen Minderungsverpflichteten oder des betroffenen Minderungsverpflichteten gemäß § 2 Z 40 iVm § 7,
- bb) Angabe, dass der Grund für die Löschung die Erzeugung von Upstream Emissions-Reduktionen in Österreich ist;
 
 
- 4. im Land, in dem die entsprechenden Projekte zur Reduktion von Upstream Emissionen durchgeführt werden, diese nicht in Folge von rechtlich bindenden Vorschriften des jeweiligen Landes durchgeführt werden oder wenn Vorschriften, die die Umsetzung betreffen, im betreffenden Land nicht durchgesetzt werden können;
- 5. für die Anrechnung von Upstream Emissions-Reduktionen ein Anrechnungsantrag gemäß Abs. 5 an die Umweltbundesamt GmbH gerichtet wurde;
- 6. Die Umweltbundesamt GmbH hat eine Liste der im Zuge der anlassbezogenen Prüfung des jeweiligen Systems in Österreich anerkannten Systeme und Nachweise für Reduktionen aus Upstream Emissionen aus anderen Mitgliedstaaten zu veröffentlichen.“
49. In § 19b Abs. 2 Z 2 wird nach der Wortfolge „Der Antrag hat folgende Angaben“ die Wortfolge „in deutscher Sprache“ eingefügt.
50. § 19b Abs. 4 Z 1 und 2 lautet:
- „1. die zertifizierten Emissionsreduktionen aus Projekten oder Projektteilen im Sinn des § 2 Z 24 stammen und der als Nachweis notwendige Monitoring-Report sich auf das jeweilige Verpflichtungsjahr bezieht;
- 2. die erforderlichen Daten an die Umweltbundesamt GmbH übermittelt wurden, die eine eindeutige Identifikation des Projekts und der daraus resultierenden Emissionsreduktionen im Sinn des § 2 Z 24 ermöglichen;“
51. In § 19b Abs. 4 Z 3 lit. a wird der Verweis auf „§ 2 Z 34“ durch den Verweis auf „§ 2 Z 39“ ersetzt.
52. § 19b Abs. 5 und 6 lautet:
„(5) Ein Antrag hinsichtlich der Anrechnung von Upstream Emissions-Reduktionen auf das Ziel gemäß § 7 muss unter Einhaltung der folgenden Bedingungen durch einen Verpflichteten bzw. durch eine Gruppe von Verpflichteten gemäß § 7 oder im Falle der Übertragung der Erfüllung von Verpflichtungen des § 7 auf Dritte gemäß § 7a durch Dritte gestellt werden. Die zu verwendenden Muster sind von der Umweltbundesamt GmbH zu veröffentlichen. Der Antrag ist bis spätestens 30. Juni des dem Verpflichtungsjahr folgenden Jahres in elektronischer Form an die Umweltbundesamt GmbH zu richten und hat folgende Angaben zu enthalten:
- 1. Name und Anschrift des Antragstellers;
- 2. Name und Anschrift der vom Projektträger beauftragten Verifizierungsstelle und die Kopie der entsprechenden Akkreditierungsurkunde gemäß § 19b Abs. 3 Z 4;
- 3. die Menge der Upstream Emissions- Reduktionen, die auf die Ziele gemäß § 7 angerechnet werden sollen;
- 4. im Falle eines in Österreich anerkannten Projekts zur Reduktion der Upstream Emissionen die Projektnummer des zugrunde liegenden Projekts gemäß Abs. 2 Z 3 und die entsprechenden Verifizierungsberichte;
- 5. im Falle eines Nachweises gemäß Abs. 1 Z 3b und c die entsprechenden Unterlagen, die eine nachvollziehbare überprüfbare Dokumentation der Nachweise ermöglichen;
- 6. eine Erklärung des Antragstellers, dass die anrechenbaren Upstream Emissions-Reduktionen nicht bereits in einem anderen Mitgliedstaat der Europäischen Union geltend gemacht wurde oder eine Geltendmachung beabsichtigt wird.
(6) Die Anträge gemäß Abs. 2 und Abs. 5 sind durch die Umweltbundesamt GmbH zu prüfen, wobei im Falle von Unklarheiten und unzureichenden Angaben durch die Umweltbundesamt GmbH gestellt werden können. Die Umweltbundesamt GmbH ist dabei auch berechtigt, die Beilegung einer Übersetzung durch eine gerichtlich beeidete Dolmetscherin oder einen gerichtlich beeideten Dolmetscher zu fordern. Im Falle eines positiv beurteilten Antrages gemäß Abs. 5 hat die Umweltbundesamt GmbH die entsprechenden Upstream Emissions-Reduktionen auf die Ziele nach § 7 anzurechnen, den mit einer eindeutigen Nummer versehenen Antrag zu veröffentlichen und die zur Identifikation der angerechneten Upstream Emissions-Reduktionen notwendigen Daten unverzüglich an die für die Anrechnung von Upstream Emissions-Reduktionen zuständige Behörde der anderen Mitgliedstaaten zu senden. Werden die Voraussetzungen für den Antrag nach Prüfung durch die Umweltbundesamt GmbH nicht erfüllt, ist der Antrag per Bescheid durch die Bundesministerin für Klimaschutz, Umwelt, Energie, Mobilität, Innovation und Technologie abzulehnen.“
53. § 20 Abs. 2 Z 1 bis 3 lautet:
- „1. einen Nachweis über die von ihm erstmals im Bundesgebiet in den verbrauchsteuerrechtlichen freien Verkehr gebrachten, verwendeten oder gehandelten Mengen aller flüssigen und gasförmigen fossilen Kraftstoffe und Energieträger für den Einsatz im Straßenverkehr unter Angabe des Ursprungs und des Erwerbsorts.
- 2.  einen Nachweis über die von ihm erstmals im Bundesgebiet in den verbrauchsteuerrechtlichen freien Verkehr gebrachten oder verwendeten Mengen aller Biokraftstoffe oder Biomethan, unter Angabe des Ursprungs und des Erwerbsorts, untergliedert nach:- a) den Mengen, welche den Anforderungen gemäß § 12 genügen sowie den Mengen, welche den Anforderungen gemäß § 12 nicht genügen und
- b) den Mengen, die aus den Ausgangsstoffen in Anhang XII Teil B und Anhang XIII angeführten Rohstoffen hergestellt wurden. Werden unterschiedliche Rohstoffe verwendet, so geben die Meldepflichtigen die Menge des Endprodukts für jeden Einsatzstoff an, die im Berichtsjahr in den verbrauchsteuerrechtlich freien Verkehr gebracht wurde.
 
- 3. einen Nachweis über die in den verbrauchsteuerrechtlichen freien Verkehr gebrachten oder verwendeten Mengen aller sonstigen erneuerbaren Kraftstoffe für den Einsatz in Kraftfahrzeugen, mit Angaben zur Art und Menge der Kraftstoffe. Ausgenommen davon sind die Mengen an nach § 11 anrechenbarem elektrischen Strom für den Einsatz im Straßenverkehr;“
54. § 20 Abs. 2 Z 5 und 6 lautet:
- „5. einen Nachweis, dass die zur Zielerreichung gemäß den §§ 5, 6 und 7 anzurechnende erneuerbare Energie den Kriterien nach den §§ 8, 11 und 12 entspricht, sowie eine tabellarische Auflistung der einzelnen Nachhaltigkeitsnachweise und der darin enthaltenen Daten für die erstmals im Bundesgebiet in den verbrauchsteuerrechtlichen freien Verkehr gebrachten oder in das Bundesgebiet in den verbrauchsteuerrechtlichen freien Verkehr verbrachten oder verwendeten Biokraftstoffe und/oder Biomethan und
- 6. die Höhe der nach § 19 berechneten Lebenszyklustreibhausgasemissionen von Biokraftstoffen und Biomethan und nach § 19a der Treibhausgasintensität jedes einzelnen in den verbrauchsteuerrechtlichen freien Verkehr gebrachten oder verwendeten Kraftstoffs und Energieträgers für den Einsatz im Verkehrsbereich pro Energieeinheit und den spezifischen Summenwert, gemäß den jeweiligen Anteilen an der Gesamtmenge im jeweiligen Berichtsjahr. Die Berechnungsergebnisse nach § 19 sind einschließlich der vorläufigen Mittelwerte der geschätzten Emissionen infolge indirekter Landnutzungsänderungen durch Biokraftstoffe und Biomethan gemäß Anhang XII anzugeben.“
55. § 20 Abs. 4 lautet:
„(4) Die Nachweise gemäß Abs. 2 und § 7, mit Ausnahme der Nachweise gemäß § 19b, haben bei der Umweltbundesamt GmbH in elektronischer Form bis zum 1. Mai des dem Verpflichtungsjahrs folgenden Jahres einzulangen.“
56. In § 20 Abs. 5 wird die Wortfolge „am Monatsletzten des darauf folgenden Monats“ durch die Wortfolge „bis zum darauf folgenden Quartalsende“ ersetzt.
57. § 21 Z 1 lautet:
- „1. Registrierung bzw. Änderung der Registrierung in elNa von Betrieben, die Biokraftstoffe oder Biomethan herstellen oder handeln sowie für Antragsberechtigte für Strommengen und Zertifizierungsstellen (§ 14);“
58. § 21 Z 3 und 4 lautet:
- „3. Registrierung und Zulassung von Biokraftstoffen und Biomethan aus Abfällen und Reststoffen, die auf das Substitutionsziel nach den §§ 5, 6 und 7 angerechnet werden sollen;
- 4. Antragsprüfung zur Anrechenbarkeit des Beitrags von Elektrizität aus erneuerbaren Energiequellen (§§ 11 und 14);“
59. § 21 Z 7 entfällt.
60. § 22 lautet:
„(1) Kommt ein Verpflichteter seinen Verpflichtungen nach den §§ 5, 6 oder 7 nicht nach, wird für die nach dem Energiegehalt und/oder der Treibhausgasintensität der Kraftstoffe oder Energieträger berechnete Fehlmenge ein Ausgleichsbetrag per Bescheid durch die Bundesministerin für Klimaschutz, Umwelt, Energie, Mobilität, Innovation und Technologie festgesetzt.
- 1. In den Fällen der Nichterreichung der Ziele gemäß den §§ 5 und 6 beträgt die Höhe des Ausgleichsbetrages für den nicht substituierten energetischen Anteil 43 Euro pro Gigajoule.
- 2.  In den Fällen der Nichterreichung des Ziels gemäß § 7 beträgt die Höhe des Ausgleichsbetrages- a) für das Berichtsjahr 2023 für die ersten 5 %-Punkte 600 Euro pro Tonne CO2 Äquivalent und für den letzten 1 %-Punkt 15 Euro pro Tonne CO2 Äquivalent,
- b) ab dem Berichtsjahr 2024 für das gesamte Ziel 600 Euro pro Tonne CO2 Äquivalent.
 
(2) Soweit im Falle der Verpflichtungen gemäß den §§ 5, 6 und 7 Dritte ihre vertraglich übernommene Erfüllung von Verpflichtungen nicht leisten, wird der Ausgleichsbetrag gegenüber dem Verpflichteten mit Bescheid festgelegt.
(3) Soweit der Verpflichtete oder die Verpflichtete die nach § 20 erforderlichen Angaben nicht oder nicht ordnungsgemäß mitgeteilt hat, wird entsprechend der vom Verpflichteten oder der Verpflichteten im vorangegangenen Kalenderjahr in Verkehr gebrachten Mengen an Kraftstoffen die für die Zielsetzungen im Verpflichtungsjahr ausschlaggebende Menge geschätzt und als Basis für die Berechnung der Höhe des Ausgleichsbetrages per Bescheid festgelegt. Die Schätzung unterbleibt, soweit die tatsächliche Menge im Rahmen des Ermittlungsverfahrens festgestellt werden kann.
.“
61. Nach § 25 wird folgender § 26 samt Überschrift eingefügt:
„Übergangsbestimmung zur Kraftstoffverordnungs-Novelle 2023
§ 26. (1) Die Kraftstoffverordnungs-Novelle 2023 tritt mit Ausnahme des § 11 mit 1. Jänner 2023 in Kraft.
(2) Die Fristen nach den §§ 7a Abs. 6,und 20 Abs. 4 gelten für Einreichungen für das Berichtsjahr 2023 ab dem 1. Jänner 2024
(3) Der § 11 dieser Novelle tritt für das Berichtsjahr 2023 mit 1.1.2024 in Kraft; gleichzeitig tritt der § 11 in der Fassung BGBl. II Nr. 630/2020 außer Kraft “
62. Die Tabelle des Anhang I lautet:
| „Typ: | Ottokraftstoff | |||
| Grenzwerte (2) | ||||
| Merkmal (1) | Einheit | Mindestwert | Höchstwert | |
| Research - Oktanzahl | 95 (3) | -- | ||
| Motor - Oktanzahl | 85 | -- | ||
| Dichte (bei 15 °C) | kg/m3 | 720,0 | 775,0 | |
| Mangangehalt | mg/l | - | 2 | |
| Oxidationsstabilität | min | 360 | -- | |
| Abdampfrückstand (gewaschen) | mg/100 ml | - | 5 | |
| Korrosionswirkung auf Kupfer (3 h bei 50 °C) | Korrosionsgrad | Klasse 1 | ||
| Aussehen | klar und trübungsfrei | |||
| Dampfdruck, | ||||
| Sommerperiode (4) | kPa | -- | 60,0 | |
| Siedeverlauf: | % v/v | |||
| – bei 100°C verdunstet | 46,0 | -- | ||
| – bei 150°C verdunstet | 75,0 | -- | ||
| Analyse der Kohlenwasserstoffe: | ||||
| – Olefine | % v/v | -- | 18,0 | |
| – Aromaten | % v/v | -- | 35,0 | |
| – Benzol | % v/v | -- | 1,0 | |
| Sauerstoffgehalt | % m/m | -- | 2,7 | |
| Sauerstoffhaltige Komponenten | ||||
| – Methanol (dem Stabilisatoren hinzuzufügen sind) | % v/v | - | 3 | |
| – Ethanol | % v/v | - | 5 | |
| (gegebenenfalls sind Stabilisatoren erforderlich) | ||||
| – Isopropylalkohol | % v/v | Volumenbeimischungen sind auf einen Sauerstoffgehalt von maximal 2,7 % (m/m) beschränkt | ||
| – Tertiarer Butylalkohol | % v/v | |||
| – Isobutylalkohol | % v/v | |||
| – Ether, die 5 oder mehr Kohlenstoffatome je Molekül enthalten | % v/v | |||
| – Sonstige sauerstoffhaltige Komponenten (5) | % v/v | |||
| Schwefelgehalt | mg/kg | -- | 10 | |
| Bleigehalt | mg/l | -- | 5“ | |
63. In Anhang I wird in den Abs. 1, 3 und 5 das Datum „15. Juli 2017“ jeweils durch das Datum „15. September 2020“ ersetzt.
64. Die Tabelle des Anhang II lautet:
„Typ: Ottokraftstoff
| Parameter1 | Einheit | Grenzwerte2 | |
| Minimum | Maximum | ||
| Research-Oktanzahl | 953 | – | |
| Motor-Oktanzahl | 85 | – | |
| Dampfdruck, Sommerperiode4 | kPa | – | 60,0 | 
| Dichte (bei 15 °C) | kg/m3 | 720,0 | 775,0 | 
| Mangangehalt | mg/l | - | 2 | 
| Oxidationsstabilität | min | 360 | -- | 
| Abdampfrückstand (gewaschen) | mg/100 ml | - | 5 | 
| Korrosionswirkung auf Kupfer (3 h bei 50 °C) | Korrosionsgrad | Klasse 1 | |
| Aussehen | klar und trübungsfrei | ||
| Siedeverlauf: | |||
| – verdampft bei 100°C | % v/v | 46,0 | – | 
| – verdampft bei 150°C | % v/v | 75,0 | – | 
| Analyse der Kohlenwasserstoffe: | |||
| – Olefine | % v/v | – | 18,0 | 
| – Aromaten | % v/v | – | 35,0 | 
| – Benzol | % v/v | – | 1,0 | 
| Sauerstoffgehalt | % m/m | 3,7 | |
| Sauerstoffhaltige Komponenten | |||
| – Methanol | % v/v | 3,0 | |
| – Ethanol (Stabilisierungsmittel können notwendig sein) | % v/v | 10,0 | |
| – Isopropylalkohol | % v/v | – | 12,0 | 
| – Tertiärer Butylalkohol | % v/v | – | 15,0 | 
| – Isobutylalkohol | % v/v | – | 15,0 | 
| – Ether, die fünf oder mehr Kohlenstoffatome je Molekül enthalten | % v/v | – | 22,0 | 
| – sonstige sauerstoffhaltige Komponenten5 | % v/v | – | 15,0 | 
| Schwefelgehalt | mg/kg | – | 10,0 | 
| Bleigehalt | g/l | – | 0,005“ | 
65. In Anhang II Abs. 1 wird das Datum „15. Juli 2017“ zwei Mal durch das Datum „15. September 2020“ ersetzt.
66. In Anhang II Abs. 2 wird die Zahl „4249“ durch die Zahl „4259“ ersetzt.
67. Die Tabelle in Anhang IV lautet:
| „Eigenschaft1 | Einheit | Grenzwerte | |
| Minimum | Maximum | ||
| Klopffestigkeit, MOZ  | 89,0 | ||
| Gesamtgehalt an Dienen | % (m/m) | 0,5 | |
| 1,3-Butadien | % (m/m) | 0,09 | |
| Propangehalt | % (m/m) | 20 | |
| Schwefelwasserstoff | Nicht nachweisbar | ||
| Gesamtschwefelgehalt | mg/kg | 30 | |
| Kupferstreifen-Korrosion | Korrosionsgrad | Klasse 1 | |
| Abdampfrückstand | mg/kg | 60 | |
| Dampfdruck, Manometerdampfdruck, bei 40°C | kPa | 1 550 | |
| Dampfdruck, Manometerdampfdruck bei einer Temperatur von: für Klasse A: -10° C für Klasse B: -5° C für Klasse C: 0° C für Klasse D: +10° C für Klasse E: +20° C | kPa | 150 | |
| Wassergehalt | bestanden | ||
| Geruch | Unangenehm und spezifisch bei 20% der unteren Entflammbarkeitsgrenze“ | ||
68. Die Tabelle inklusive Fußnoten in Anhang VIIIb lautet:
| „Eigenschaft6 | Einheit | Grenzwerte Minimum | Grenzwerte Maximum | 
| Cetanzahl | 51,0 | – | |
| Cetanindex | 46,0 | – | |
| Dichte CFPP Klassen A und B bei 15°C | kg/m3 | 820,0 | 845,0 | 
| Dichte CFPP Klassen E und F bei 15°C | kg/m3 | 815,0 | 845,0 | 
| Polycyclische aromatische Kohlenwasserstoffe | %(m/m) | – | 8,0 | 
| Schwefelgehalt | mg/kg | – | 10,0 | 
| Mangangehalt | mg/l | – | 2,0 | 
| Flammpunkt | °C | >55,0 | – | 
| Koksrückstand (von 10% Destillationsrückstand) | %(m/m) | – | 0,30 | 
| Aschegehalt | %(m/m) | – | 0,010 | 
| Wassergehalt | %(m/m) | – | 0,020 | 
| Gesamtverschmutzung | mg/kg | – | 24 | 
| Korrosionswirkung auf Kupfer (3h bei 50°C) | Korrosionsgrad | Klasse 1 | Klasse 1 | 
| Fettsäure-Metylester-Gehalt (FAME-Gehalt)8 | % (V/V) | – | 10,0 | 
| Oxidationsstabilität 8a | g/m3 h | 25 – | |
| Oxidationsstabilität für Dieselkraftstoff mit mehr als 2,0 % (V/V) FAME 8a | h min | 20 oder 60 | - | 
| Schmierfähigkeit, „wear scar diameter“ bei 60 °C 9 | µm | - | 460 | 
| Viskosität bei 40°C | mm2/s | 2,000 | 4,500 | 
| Destillation10, 11 | |||
| %(V/V)aufgefangen bei 250°C | %(V/V) | <65 | |
| %(V/V)aufgefangen bei 350°C | %(V/V) | 85 | |
| 95%(V/V)aufgefangen bei | °C | 360 | |
6 Die Prüfverfahren sind die in ÖNORM EN 16734 „Kraftstoffe für Kraftfahrzeuge – B10 Dieselkraftstoff – Anforderungen und Prüfverfahren“ vom 1.Jänner 2017 genannten Verfahren
8 FAME muss die Anforderungen der EN 14214 erfüllen
8a Dieselkraftstoff mit mehr als 2,0 % (V/V) FAME besteht die zusätzliche Anforderung, die Oxidationsstabilität entweder nach EN 15751 oder EN 16091 zu prüfen.
9 Die Schmierfähigkeit eines Dieselkraftstoffs, unabhängig von seinem FAME-Gehalt, muss den HFRR-Grenzwert von maximal 460 µm einhalten. Dieselkraftstoff mit mehr als 4,0 % (V/V) FAME hat allgemein eine gute Schmierfähigkeit mit HFRR unter 460 µm und erfordert nicht unbedingt eine HFRR-Prüfung, solange keine negativen Erfahrungen bekannt sind.
10 Für die Berechnung des Cetanindex werden außerdem die Gewinnungspunkte für 10% (V/V), 50% (V/V) und 90% (V/V) benötigt
11 Die Destillationsgrenzen bei 250° und 350° gelten für einen Gemeinsamen Zolltarif der EU entsprechenden Dieselkraftstoff“
69. Anhang IX lautet:
„Anhang IX
Energiegehalt von Kraftstoffen gemäß der Richtlinie (EU) 2018/2001
| Kraftstoff | Gewichtspezifischer Energiegehalt (unterer Heizwert in MJ/kg) | Volumenspezifischer Energiegehalt (unterer Heizwert in MJ/l) | Dichte | |
| Wert | Einheit | |||
| Aus Biomasse und/oder durch Biomasseverarbeitung hergestellte Kraftstoffe | ||||
| Reines Pflanzenöl (durch Auspressen, Extraktion oder vergleichbare Verfahren aus Ölsaaten gewonnenes Öl, roh oder raffiniert, jedoch chemisch unverändert, sofern es für den betreffenden Motorentyp geeignet ist und die entsprechenden Emissionsanforderungen erfüllt) | 37 | 34 | 0,919 | kg/l | 
| Biodiesel — Fettsäuremethylester (auf Grundlage von Öl aus Biomasse produzierter Methylester) | 37 | 33 | 0,892 | kg/l | 
| Biodiesel — Fettsäureethylester (auf Grundlage von Öl aus Biomasse produzierter Ethylester) | 38 | 34 | ||
| Biomethan | 50 | – | 0,730 | kg/m3(a) | 
| Hydriertes Pflanzenöl (thermochemisch mit Wasserstoff behandeltes Pflanzenöl) zur Verwendung als Dieselkraftstoff | 44 | 34 | 0,773 | kg/l | 
| Hydriertes (thermochemisch mit Wasserstoff behandeltes) Öl aus Biomasse zur Verwendung als Ottokraftstoffersatz | 45 | 30 | ||
| Hydriertes (thermochemisch mit Wasserstoff behandeltes) Öl aus Biomasse zur Verwendung als Flüssiggasersatz | 46 | 24 | ||
| (In einer Raffinerie mit fossilen Brennstoffen) gemeinsam verarbeitetes Öl aus Biomasse oder pyrolisierter Biomasse zur Verwendung als Dieselkraftstoffersatz | 43 | 36 | ||
| (In einer Raffinerie mit fossilen Brennstoffen) gemeinsam verarbeitetes Öl aus Biomasse oder pyrolisierter Biomasse zur Verwendung als Ottokraftstoffersatz | 44 | 32 | ||
| (In einer Raffinerie mit fossilen Brennstoffen) gemeinsam verarbeitetes Öl aus Biomasse oder pyrolisierter Biomasse zur Verwendung als Flüssiggasersatz | 46 | 23 | ||
| Erneuerbare Kraftstoffe, die aus verschiedenen erneuerbaren Quellen produziert werden können, darunter auch Biomasse | ||||
| Methanol aus erneuerbaren Quellen | 20 | 16 | 0,800 | kg/l | 
| Ethanol aus erneuerbaren Quellen | 27 | 21 | ||
| Propanol aus erneuerbaren Quellen | 31 | 25 | ||
| Butanol aus erneuerbaren Quellen | 33 | 27 | 0,818 | kg/l | 
| Fischer-Tropsch-Diesel (synthetischer/s Kohlenwasserstoff (gemisch) zur Verwendung als Dieselkraftstoffersatz) | 44 | 34 | 0,773 | kg/l | 
| Fischer-Tropsch-Ottokraftstoff (aus Biomasse produzierter/s synthetischer/s Kohlenwasserstoff(gemisch) zur Verwendung als Ottokraftstoffersatz) | 44 | 33 | ||
| Fischer-Tropsch-Flüssiggas (aus Biomasse hergestellter/s synthetischer/s Kohlenwasserstoff(gemisch) zur Verwendung als Flüssiggasersatz) | 46 | 24 | kg/l | |
| DME (Dimethylether) | 28 | 19 | 0,679 | kg/l | 
| Wasserstoff aus erneuerbaren Quellen | 120 | |||
| ETBE (auf der Grundlage von Ethanol hergestellter Ethyl-Tertiär-Butylether) | 36 (davon 33% aus erneuerbaren Quellen) | 27 (davon 33% aus erneuerbaren Quellen) | 0,750 | kg/l | 
| MTBE (auf der Grundlage von Methanol hergestellter Methyl-Tertiär-Butylether) | 35 (davon 22% aus erneuerbaren Quellen) | 26 (davon 22% aus erneuerbaren Quellen) | 0,743 | kg/l | 
| TAEE (auf der Grundlage von Ethanol produzierter Tertiär- Amyl-Ethyl-Ether) | 38 (davon 37% aus erneuerbaren Quellen) | 29 (davon 37% aus erneuerbaren Quellen) | 0,763 | kg/l | 
| TAME (auf der Grundlage von Methanol produzierter Tertiär-Amyl-Methyl-Ether) | 36 (davon 37% aus erneuerbaren Quellen) | 28 (davon 37% aus erneuerbaren Quellen) | ||
| THxEE (auf der Grundlage von Ethanol produzierter Tertiär-Hexyl-Ethyl-Ether) | 38 (davon 37% aus erneuerbaren Quellen) | 30 (davon 37% aus erneuerbaren Quellen) | ||
| THxME (auf der Grundlage von Methanol produzierter Tertiär-Hexyl-Methyl-Ether) | 38 (davon 37% aus erneuerbaren Quellen) | 30 (davon 37% aus erneuerbaren Quellen) | ||
| Ottokraftstoff | 43 | 32 | 0,744 | kg/l | 
| Dieselkraftstoff | 43 | 36 | 0,837 | kg/l | 
| CNG(a) | 49,2 | – | 0,728 | kg/m3 | 
| LNG | – | 22 | 0,430 | kg/l | 
(a) Einheit „kg/m3“: bei Normbedingungen p=1,013 bar; T= 273,15 K“
70. Anhang X lautet:
„Anhang X
Regeln für die Berechnung des Beitrags von Biokraftstoffen und des entsprechenden Vergleichswerts für fossile Brennstoffe zum Treibhauseffekt
A. Typische Werte und Standardwerte für Biokraftstoffe und Biomethan bei Herstellung ohne Netto – CO 2-Emissionen infolge von Landnutzungsänderungen;
| Herstellungsweg des Biokraftstoffs | Typische Werte für die Minderung von Treibhausgasemissionen | Standardwerte für die Minderung von Treibhausgasemissionen | 
| Ethanol aus Zuckerrüben (ohne Biogas aus Schlempe, Erdgas als Prozessbrennstoff in konventioneller Anlage) | 67% | 59% | 
| Ethanol aus Zuckerrüben (mit Biogas aus Schlempe, Erdgas als Prozessbrennstoff in konventioneller Anlage) | 77% | 73% | 
| Ethanol aus Zuckerrüben (ohne Biogas aus Schlempe, Erdgas als Prozessbrennstoff in KWK-Anlage (*)) | 73% | 68% | 
| Ethanol aus Zuckerrüben (mit Biogas aus Schlempe, Erdgas als Prozessbrennstoff in KWK-Anlage (*)) | 79% | 76% | 
| Ethanol aus Zuckerrüben (ohne Biogas aus Schlempe, Braunkohle als Prozessbrennstoff in KWK-Anlage (*)) | 58% | 47% | 
| Ethanol aus Zuckerrüben (mit Biogas aus Schlempe, Braunkohle als Prozessbrennstoff in KWK-Anlage (*)) | 71% | 64% | 
| Ethanol aus Mais (Erdgas als Prozessbrennstoff in konventionellen-Anlagen) | 48% | 40% | 
| Ethanol aus Mais (Erdgas als Prozessbrennstoff in KWK- Anlage (*)) | 55% | 48% | 
| Ethanol aus Mais (Braunkohle als Prozessbrennstoff in KWK-Anlage (*)) | 40% | 28% | 
| Ethanol aus Mais (forstwirtschaftliche Reststoffe als Prozessbrennstoff in KWK-Anlage (*)) | 69% | 68% | 
| Ethanol aus anderen Getreiden, ohne Mais (Erdgas als Prozessbrennstoff in konventioneller Anlage) | 47% | 38% | 
| Ethanol aus anderen Getreiden, ohne Mais (Erdgas als Prozessbrennstoff in KWK-Anlage (*)) | 53% | 46% | 
| Ethanol aus anderen Getreiden, ohne Mais (Braunkohle als Prozessbrennstoff in KWK-Anlage (*)) | 37% | 24% | 
| Ethanol aus anderen Getreiden, ohne Mais (forstwirtschaftliche Reststoffe als Prozessbrennstoff in KWK-Anlage (*)) | 67% | 67% | 
| Ethanol aus Zuckerrohr | 70% | 70% | 
| Ethyl-Tertiär-Butylether /ETBE), Anteil aus erneuerbaren Quellen | Wie beim Herstellungsweg für Ethanol | Wie beim Herstellungsweg für Ethanol | 
| Tertiär-Amyl-Ethyl-Ether /TAEE) Anteil aus erneuerbaren Quellen | Wie beim Herstellungsweg für Ethanol | Wie beim Herstellungsweg für Ethanol | 
| Biodiesel aus Raps | 52% | 47% | 
| Biodiesel aus Sonnenblumen | 57% | 52% | 
| Biodiesel aus Sojabohnen | 55% | 50% | 
| Biodiesel aus Palmöl (offenes Abwasserbecken) 32 % | 36% | 19% | 
| Biodiesel aus Palmöl (Verarbeitung mit Methanbindung an der Ölmühle) | 51% | 45% | 
| Biodiesel aus Altspeiseöl | 88% | 84% | 
| Biodiesel aus ausgelassenen tierischen Fetten (**) | 84% | 78% | 
| Hydriertes Rapsöl | 51% | 47% | 
| Hydriertes Sonnenblumenöl | 58% | 54% | 
| Hydriertes Sojaöl | 55% | 51% | 
| Hydriertes Palmöl (offenes Abwasserbecken) | 34% | 22% | 
| Hydriertes Palmöl (Verarbeitung mit Methanbindung an der Ölmühle) | 53% | 49% | 
| Hydriertes Altspeiseöl | 87% | 83% | 
| Hydrierte tierische Fette (**) | 83% | 77% | 
| Reines Rapsöl | 59% | 57% | 
| Reines Sonnenblumenöl | 65% | 64% | 
| Reines Sojaöl | 63% | 61% | 
| Reines Palmöl (offenes Abwasserbecken) | 40% | 30% | 
| Reines Palmöl (Verarbeitung mit Methanbindung an der Ölmühle) | 59% | 57% | 
| Reines Palmöl (Verarbeitung mit Methanbindung an der Ölmühle) | 59% | 57% | 
| Reines Altspeiseöl | 98% | 98% | 
| BIOMETHAN FÜR DEN VERKEHRSSEKTOR (*1) | |||
| Biomethan-produktionssystem | Technologische Optionen | Typische Werte für die Minderung von Treibhausgasemissionen | Standardwerte für die Minderung von Treibhausgasemissionen | 
| Gülle | Offenes Gärrückstands-lager, keine Abgasverbrennung | 117 % | 72 % | 
| Offenes Gärrückstands-lager, Abgasverbrennung | 133 % | 94 % | |
| Geschlossenes Gärrückstandslager, keine Abgasverbrennung | 190 % | 179 % | |
| Geschlossenes Gärrückstandslager, Abgasverbrennung | 206 % | 202 % | |
| Mais, gesamte Pflanze | Offenes Gärrückstands-lager, keine Abgasverbrennung | 35 % | 17 % | 
| Offenes Gärrückstands-lager, Abgasverbrennung | 51 % | 39 % | |
| Geschlossenes Gärrückstandslager, keine Abgasverbrennung | 52 % | 41 % | |
| Geschlossenes Gärrückstandslager, Abgasverbrennung | 68 % | 63 % | |
| Bioabfall | Offenes Gärrückstands-lager, keine Abgasverbrennung | 43 % | 20 % | 
| Offenes Gärrückstands-lager, Abgasverbrennung | 59 % | 42 % | |
| Geschlossenes Gärrückstandslager, keine Abgasverbrennung | 70 % | 58 % | |
| Geschlossenes Gärrückstandslager, Abgasverbrennung | 86 % | 80 % | |
| (*1) Die Treibhausgaseinsparungen für Biomethan beziehen sich ausschließlich auf komprimiertes Biomethan gegenüber dem Komparator für Fossilbrennstoffe im Verkehrssektor in Höhe von 94 gCO2eq/MJ. | |||
(*) Standardwerte für KWK-Verfahren gelten nur, wenn die gesamte Prozesswärme durch KWK erzeugt wird..
(**) Gilt nur für Biokraftstoffe aus tierischen Nebenprodukten, die in der Verordnung (EG) Nr. 1069/2009 des Europäischen Parlaments und des Rates (1) als Material der Kategorie 1 bzw. 2 eingestuft werden; in diesem Fall werden Emissionen im Zusammenhang mit der Entseuchung als Teil der Tierkörperverwertung nicht berücksichtigt.
| BIOMETHAN — VERMISCHUNG VON MIST/GÜLLE UND MAIS (*1) | |||
| Biomethan-produktions-system | Technologische Optionen | Typische Werte für die Minderung von Treibhausgasemissionen | Standardwerte für die Minderung von Treibhausgasemissionen | 
| Mist/Gülle — Mais 80 % — 20 % | Offenes Gärrückstandslager, keine Abgasverbrennung (1) | 62 % | 35 % | 
| Offenes Gärrückstandslager, Abgasverbrennung (2) | 78 % | 57 % | |
| Geschlossenes Gärrückstandslager, keine Abgasverbrennung | 97 % | 86 % | |
| Geschlossenes Gärrückstandslager, Abgasverbrennung | 113 % | 108 % | |
| Mist/Gülle — Mais 70 % — 30 % | Offenes Gärrückstandslager, keine Abgasverbrennung | 53 % | 29 % | 
| Offenes Gärrückstandslager, Abgasverbrennung | 69 % | 51 % | |
| Geschlossenes Gärrückstandslager, keine Abgasverbrennung | 83 % | 71 % | |
| Geschlossenes Gärrückstandslager, Abgasverbrennung | 99 % | 94 % | |
| Mist/Gülle — Mais 60 % – 40 % | Offenes Gärrückstandslager, keine Abgasverbrennung | 48 % | 25 % | 
| Offenes Gärrückstandslager, Abgasverbrennung | 64 % | 48 % | |
| Geschlossenes Gärrückstandslager, keine Abgasverbrennung | 74 % | 62 % | |
| Geschlossenes Gärrückstandslager, Abgasverbrennung | 90 % | 84 % | |
| (*1) Die Treibhausgaseinsparungen für Biomethan beziehen sich ausschließlich auf komprimiertes Biomethan gegenüber dem Komparator für Fossilbrennstoffe im Verkehrssektor in Höhe von 94 gCO2eq/MJ. (1) Diese Kategorie umfasst die folgenden technologischen Kategorien zur Aufbereitung von Biogas zu Biomethan: Druckwechsel-Adsorption (Pressure Swing Adsorption — PSA), Druckwasserwäsche (Pressurised Water Scrubbing — PWS), Membrantrenntechnik, kryogene Trennung und physikalische Absorption mit einem organischen Lösungsmittel (Organic Physical Scrubbing — OPS). Dies schließt die Emission von 0,03 MJ CH4/MJ Biomethan für die Emission von Methan in den Abgasen ein. (2) Diese Kategorie umfasst die folgenden technologischen Kategorien zur Aufbereitung von Biogas zu Biomethan: Druckwasserwäsche (Pressurised Water Scrubbing — PWS), sofern das Wasser aufbereitet wird, Druckwechsel-Adsorption (Pressure Swing Adsorption — PSA), chemische Absorption (Chemical Scrubbing), physikalische Absorption mit einem organischen Lösungsmittel (Organic Physical Scrubbing — OPS), Membrantrenntechnik und kryogene Trennung. Für diese Kategorie werden keine Methanemissionen berücksichtigt (das Methan im Abgas verbrennt gegebenenfalls). | |||
- B. Geschätzte typische Werte und Standardwerte für künftige Biokraftstoffe, die im Januar 2016 nicht oder nur in vernachlässigbaren Mengen auf dem Markt waren, bei Herstellung ohne Netto-CO2-Emission infolge von Landnutzungsänderungen
| Herstellungsweg des Biokraftstoffs | Typische Werte für die Minderung von Treibhausgasemissionen | Standardwerte für die Minderung von Treibhausgasemissionen | 
| Ethanol aus Weizenstroh | 85% | 83% | 
| Fischer-Tropsch-Diesel aus Abfallholz in Einzelanlage | 83% | 83% | 
| Fischer-Tropsch-Diesel aus Kulturholz in Einzelanlage | 82% | 82% | 
| Fischer-Tropsch-Ottokraftstoff aus Abfallholz in Einzelanlage | 83% | 83% | 
| Dimethylether (DME) aus Abfallholz in Einzelanlage | 84% | 84% | 
| DME aus Kulturholz in Einzelanlage | 83% | 83% | 
| Methanol aus Abfallholz in Einzelanlage | 84% | 84% | 
| Methanol aus Kulturholz in Einzelanlage | 83% | 83% | 
| Fischer-Tropsch-Diesel aus der Vergasung von Schwarzlauge, integriert in Zellstofffabrik | 89% | 89% | 
| Fischer-Tropsch-Ottokraftstoff aus der Vergasung von Schwarzlauge, integriert in Zellstofffabrik | 89% | 89% | 
| Dimethylether (DME) aus der Vergasung von Schwarzlauge, integriert in Zellstofffabrik | 89% | 89% | 
| Methanol aus der Vergasung von Schwarzlauge, integriert in Zellstofffabrik | 89% | 89% | 
| Methyl-Tertiär-Butylether (MTBE), Anteil aus erneuerbaren Quellen | Wie beim Herstellungsweg für Methanol | Wie beim Herstellungsweg für Methanol | 
C. Methodologie
- 1. Die Treibhausgasemissionen bei der Herstellung und Verwendung von Kraftstoffen, Biokraftstoffen und Biomethan werden wie folgt berechnet:
| wobei | |
| E | = Gesamtemissionen bei der Verwendung des Kraftstoffs | 
| eec | = Emissionen bei der Gewinnung oder beim Anbau der Rohstoffe; | 
| el | = auf das Jahr umgerechnete Emissionen aufgrund von Kohlenstoffbestandsänderungen infolge von Landnutzungsänderungen; | 
| ep | = Emissionen bei der Verarbeitung; | 
| etd | = Emissionen bei Transport und Vertrieb; | 
| eu | = Emissionen bei der Nutzung des Kraftstoffs; | 
| esca | = Emissionseinsparung durch Akkumulierung von Kohlenstoff im Boden infolge besserer landwirtschaftlicher Bewirtschaftungspraktiken; | 
| eccs | = Emissionseinsparung durch Abscheidung und geologische Speicherung von Kohlendioxid; | 
| eccr | =.Emissionseinsparung durch Abscheidung und Ersetzung von Kohlendioxid | 
| Die mit der Herstellung der Anlagen und Ausrüstungen verbundenen Emissionen werden nicht berücksichtigt. | |
- b) Bei der Co-Vergärung verschiedener Substrate in einer Biogas-Anlage zur Produktion von Biogas oder Biomethan werden die typischen Werte und die Standardwerte für Treibhausgasemissionen wie folgt berechnet:
Dabei sind:
E =Treibhausgasemissionen pro MJ Biogas oder Biomethan, das mittels Co-Vergärung einer bestimmten Mischung von Substraten produziert wird
Sn =Rohstoffanteil n am Energiegehalt En =Emissionen in gCO2/MJ für Option n gemäß Teil D dieses Anhangs (*)
Dabei sind:
Pn =Energieausbeute [MJ] pro Kilogramm Flüssiginput des Rohstoffs n (**)
Wn =Gewichtungsfaktor des Substrats n, definiert als:
Dabei sind:
In =jährliches Input in den Vergärer des Substrats n [Tonne Frischmasse]
AMn =jährliche Durchschnittsfeuchte des Substrats n [kg Wasser/kg Frischmasse]
SMn =Standardfeuchte des Substrats n (***)
(*) Bei Verwendung von Mist/Gülle als Substrat wird ein Bonus von 45 gCO2eq/MJ Gülle (– 54 kg
CO2 eq/t Frischmasse) für die verbesserte landwirtschaftliche und Mist-/Güllebewirtschaftung angerechnet.
(**) Für die Berechnung der typischen Werte und der Standardwerte werden die folgenden Werte für Pn verwendet: P(Mais): 4,16 [MJBiogas/kg Feuchtmais @ 65 % Feuchte] P(Mist/Gülle): 0,50 [MJBiogas/kg Gülle @ 90 % Feuchte] P(Bioabfall): 3,41 [MJBiogas/kg Feuchtbioabfall @ 76 % Feuchte]
(***) Die folgenden Standardfeuchtewerte werden für Substrat SMn verwendet: SM(Mais): 0,65 [kg Wasser/kg Frischmasse] SM(Mist/Gülle): 0,90 [kg Wasser/kg Frischmasse] SM(Bioabfall): 0,76 [kg Wasser/kg Frischmasse]
c) Bei der Co-Vergärung von n-Substraten in einer Biogas-Anlage zur Produktion von Elektrizität oder Biomethan werden die tatsächlichen Treibhausgasemissionen des Biogases oder Biomethans wie folgt berechnet:
Dabei sind:
E=Gesamtemissionen bei der Produktion des Biogases oder Biomethans vor der Energieumwandlung;
Sn =Rohstoffanteil n am Anteil des Inputs in den Vergärer;
eec,n =Emissionen bei der Gewinnung oder beim Anbau des Rohstoffs n;
etd,Rohstoff,n =Emissionen beim Transport des Rohstoffs n zum Vergärer;
el,n =auf das Jahr umgerechnete Emissionen durch Kohlenstoffbestandsänderungen infolge von Landnutzungsänderungen für Rohstoff n;
esca =Emissionseinsparung infolge besserer landwirtschaftlicher Bewirtschaftungspraktiken des Rohstoffs n (*);
ep =Emissionen bei der Verarbeitung;
etd,Produkt =Emissionen bei Transport und Vertrieb des Biogases und/oder Biomethans;
eu =Emissionen bei der Nutzung des Brennstoffs, d. h. bei der Verbrennung emittierte Treibhausgase;
eccs =Emissionseinsparung durch Abscheidung und geologische Speicherung von CO2; und
eccr =Emissionseinsparung durch Abscheidung und Ersetzung von CO2.
(*) Bei Verwendung von Mist/Gülle als Substrat für die Produktion von Biogas und Biomethan wird ein Bonus von 45 gCO2eq/MJ Mist/Gülle für die verbesserte landwirtschaftliche und Mist-/Güllebewirtschaftung auf esca angerechnet.
- 2. Die durch Biokraftstoffe oder Biomethan verursachten Treibhausgasemissionen E werden in CO2-Äquivalent in g/MJ (Gramm CO2-Äquivalent pro Megajoule Kraftstoff) angegeben.
Werden Treibhausgasemissionen durch die Gewinnung oder den Anbau von Rohstoffen (eec) als Einheit gCO2eq/Tonne Trockenrohstoff angegeben, wird die Umwandlung in gCO2eq/MJ (Gramm CO2-Äquivalent pro Megajoule Brennstoff) wie folgt berechnet(1)
wobei:
Die Emissionen pro Tonne Trockenrohstoff werden wie folgt berechnet:
(1) Die Formel, mit der die Treibhausgasemissionen durch die Gewinnung oder den Anbau von Rohstoffen eec berechnet werden, beschreibt Fälle, in denen Rohstoffe in einem Schritt in Biokraftstoffe umgewandelt werden. Bei komplizierteren Versorgungsketten sind Anpassungen notwendig, damit auch die Treibhausgasemissionen eec berechnet werden, die durch die Gewinnung oder den Anbau von Rohstoffen für Zwischenprodukte verursacht werden.
- 3.  Die durch die Verwendung von Biokraftstoffen oder Biomethan erzielte Einsparung bei den Treibhausgasemissionen wird wie folgt berechnet:EINSPARUNG = (EF(t) – EB)/EF(t) dabei sind: EB = Gesamtemissionen bei der Verwendung des Biokraftstoffs; 
- EF(t) = Gesamtemissionen des Komparators für Fossile Kraftstoffe.
- 4. Die für die unter Nummer 1 genannten Zwecke berücksichtigten Treibhausgase sind CO2, N2O und CH4. Zur Berechnung der CO2-Äquivalenz werden diese Gase wie folgt gewichtet:
| CO2: | 1 | 
| N2O: | 296 | 
| CH4: | 25 | 
- 5. Die Emissionen bei der Gewinnung oder beim Anbau der Rohstoffe (eec) schließen die Emissionen des Gewinnungs- oder Anbauprozesses selbst, beim Sammeln der Rohstoffe, aus Abfällen und Leckagen sowie bei der Herstellung der zur Gewinnung oder zum Anbau verwendeten Chemikalien oder sonstigen Produkten ein. Die CO2-Bindung beim Anbau der Rohstoffe wird nicht berücksichtigt Alternativ zu den tatsächlichen Werten können für die Emissionen beim Anbau landwirtschaftlicher Biomasse anhand der regionalen Durchschnittswerte für die Emissionen aus dem Anbau entsprechend den in Artikel 31 Absatz 4 der Richtlinie (EU) 2018/2001 genannten Berichten oder aus den Angaben zu den disaggregierten Standardwerten für Emissionen aus dem Anbau in diesem Anhang abgeleitet werden. Alternativ zu den tatsächlichen Werten können in Ermangelung einschlägiger Informationen in diesen Berichten die Durchschnittswerte auf der Grundlage von lokalen landwirtschaftlichen Praktiken, beispielsweise anhand von Daten einer Gruppe landwirtschaftlicher Betriebe, berechnet werden. Alternativ zu den tatsächlichen Werten können für die Emissionen beim Anbau und bei der Ernte forstwirtschaftlicher Biomasse anhand der auf nationaler Ebene für geografische Gebiete berechneten Durchschnittswerte für die Emissionen aus dem Anbau und der Ernte Schätzungen abgeleitet werden.
- 6. Für die Zwecke der in Nummer 1 Buchstabe a genannten Berechnungen werden Treibhausgasemissionseinsparungen infolge besserer landwirtschaftlicher Bewirtschaftungspraktiken (esca), wie infolge der Umstellung auf eine reduzierte Bodenbearbeitung oder eine Nullbodenbearbeitung, verbesserter Fruchtfolgen, der Nutzung von Deckpflanzen, einschließlich Bewirtschaftung der Ernterückstände, sowie des Einsatzes natürlicher Bodenverbesserer (z. B. Kompost, Rückstände der Mist-/Güllevergärung), nur dann berücksichtigt, wenn zuverlässige und überprüfbare Nachweise dafür vorgelegt werden, dass mehr Kohlenstoff im Boden gebunden wurde, oder wenn vernünftigerweise davon auszugehen ist, dass dies in dem Zeitraum, in dem die betreffenden Rohstoffe angebaut wurden, der Fall war; dabei ist gleichzeitig jenen Emissionen Rechnung zu tragen, die aufgrund des vermehrten Einsatzes von Dünger und Pflanzenschutzmitteln bei derartigen Praktiken entstehen (1).
- 7. Die auf Jahresbasis umgerechneten Emissionen aus Kohlenstoffbestandsänderungen infolge von Landnutzungsänderungen (el) werden durch gleichmäßige Verteilung der Gesamtemissionen über 20 Jahre berechnet. Diese Emissionen werden wie folgt berechnet:
dabei sind:
- el = auf das Jahr umgerechnete Treibhausgasemissionen aus Kohlenstoffbestandsänderungen infolge von Landnutzungsänderungen (gemessen als Masse (Gramm) an CO2-Äquivalent pro Energieeinheit (Megajoule) Biokraftstoff); „Kulturflächen“ (3) und „Dauerkulturen“ (4) sind als eine einzige Landnutzungsart zu betrachten;
- CSR= der mit der Bezugsfläche verbundene Kohlenstoffbestand pro Flächeneinheit (gemessen als Masse (Tonnen) an Kohlenstoff pro Flächeneinheit einschließlich Boden und Vegetation). Die Referenzlandnutzung ist die Landnutzung im Januar 2008 oder 20 Jahre vor der Gewinnung des Rohstoffs, je nachdem, welcher Zeitpunkt der spätere ist;
CSA =.der mit der tatsächlichen Landnutzung verbundene Kohlenstoffbestand pro Flächeneinheit (gemessen als Masse (Tonnen) an Kohlenstoff pro Flächeneinheit einschließlich Boden und Vegetation). Wenn sich der Kohlenstoffbestand über mehr als ein Jahr akkumuliert, gilt als CSA-Wert der geschätzte Kohlenstoffbestand pro Flächeneinheit nach 20 Jahren oder zum Zeitpunkt der Reife der Pflanzen, je nachdem, welcher Zeitpunkt der frühere ist;
P = die Pflanzenproduktivität (gemessen als Energie des Biokraftstoffs pro Flächeneinheit und Jahr) und
eB = Bonus von 29 CO2-Äquivalent in g/MJ Biokraftstoff, wenn die Biomasse unter den in Nummer 8 genannten Bedingungen auf wiederhergestellten degradierten Flächen gewonnen wird
(1) Bei einem solchen Nachweis kann es sich um Messungen des Kohlenstoffs im Boden handeln, beispielsweise in Form einer ersten Messung vor dem Anbau und anschließender regelmäßiger Messungen im Abstand von mehreren Jahren. In diesem Fall würde für den Anstieg des Bodenkohlenstoffs, solange der zweite Messwert noch nicht vorliegt, anhand repräsentativer Versuche oder Bodenmodelle ein Schätzwert ermittelt. Ab der zweiten Messung würden die Messwerte als Grundlage dienen, um zu ermitteln, ob und in welchem Maß der Bodenkohlenstoff steigt.
(2) Der durch Division des Molekulargewichts von CO2 (44,010 g/mol) durch das Molekulargewicht von Kohlenstoff (12,011 g/mol) gewonnene Quotient ist gleich 3,664.
(3) Kulturflächen im Sinn der Definition des IPCC
(4) Dauerkulturen sind definiert als mehrjährige Kulturpflanzen, deren Stiel normalerweise nicht jährlich geerntet wird (z. B. Niederwald mit Kurzumtrieb und Ölpalmen).
- 8.  Der Bonus von 29 CO2-Äquivalent in g/MJ wird gewährt, wenn der Nachweis erbracht wird, dass die betreffende Fläche- a) im Januar 2008 nicht landwirtschaftlich oder zu einem anderen Zweck genutzt wurde und
- b)  aus stark degradierten Flächen einschließlich früherer landwirtschaftlicher Nutzflächen besteht.Der Bonus von 29 CO2-Äquivalent in g/MJ gilt für einen Zeitraum von bis zu 20 Jahren ab dem Zeitpunkt der Umwandlung der Fläche in eine landwirtschaftliche Nutzfläche, sofern ein kontinuierlicher Anstieg des Kohlenstoffbestands und ein nennenswerter Rückgang der Erosion auf unter Buchstabe b fallenden Flächen gewährleistet werden 
 
- 9. „Stark degradierte Flächen“ sind Flächen, die während eines längeren Zeitraums entweder in hohem Maße versalzt wurden oder die einen besonders niedrigen Gehalt an organischen Stoffen aufweisen und stark erodiert sind;
- 10. Für die Zwecke dieser Verordnung erfolgt die Berechnung des Bodenkohlenstoffbestands auf der Grundlage der von der Kommission auf der Basis von Band 4 der IPPC-Leitlinien für nationale Treibhausgasinventare aus dem Jahr 2006 sowie im Einklang mit der Verordnung (EU) Nr. 525/2013 und der Verordnung (EU) 2018/841 des Europäischen Parlaments und des Rates vom 30. Mai 2018 über die Einbeziehung der Emissionen und des Abbaus von Treibhausgasen aus Landnutzung, Landnutzungsänderungen und Forstwirtschaft (LULUCF) in den Rahmen für die Klima- und Energiepolitik bis 2030 und zur Änderung der Verordnung (EU) Nr. 525/2013 erstellten Leitlinien für die Berechnung des Bodenkohlenstoffbestands (Beschluss der Kommission 2010/335/EU über Leitlinien für die Berechnung des Kohlenstoffbestands im Boden für die Zwecke des Anhangs V der Richtlinie 2009/28/EG , ABl. Nr. L 151 vom 17.06.2010 S.19).
- 11. Die Emissionen bei der Verarbeitung (ep) schließen die Emissionen bei der Verarbeitung selbst, aus Abfällen und Leckagen sowie bei der Herstellung der zur Verarbeitung verwendeten Chemikalien oder sonstigen Produkte ein, einschließlich der CO2-Emissionen, die dem Kohlenstoffgehalt fossiler Inputs entsprechen, unabhängig davon, ob sie bei dem Prozess tatsächlich verbrannt werden. Bei der Berücksichtigung des Verbrauchs an nicht in der Anlage zur Kraftstoffherstellung erzeugter Elektrizität wird angenommen, dass die Treibhausgasemissionsintensität bei Erzeugung und Verteilung dieser Elektrizität der durchschnittlichen Emissionsintensität bei der Produktion und Verteilung von Elektrizität in einer bestimmten Region entspricht. Abweichend von dieser Regel gilt: Die Produzenten können für die von einer einzelnen Elektrizitätserzeugungsanlage erzeugte Elektrizität einen Durchschnittswert verwenden, falls diese Anlage nicht an das Elektrizitätsnetz angeschlossen ist. Die Emissionen bei der Verarbeitung schließen gegebenenfalls Emissionen bei der Trocknung von Zwischenprodukten und -materialien ein.
- 12. Die Emissionen beim Transport und Vertrieb (etd) schließen die beim Transport und der Lagerung von Rohstoffen und Halbfertigerzeugnissen sowie bei der Lagerung und dem Vertrieb von Fertigerzeugnissen anfallenden Emissionen ein. Die Emissionen beim Transport und Vertrieb, die unter Nummer 5 berücksichtigt werden, fallen nicht unter diese Nummer.
- 13. Die CO2 Emissionen bei der Nutzung des Kraftstoffs (eu) werden für Biokraftstoffe und Biomethan mit null angesetzt. Die Emissionen von anderen Treibhausgasen als CO2 (CH2 und N2O) bei der Nutzung von Biokraftstoffen werden in den eu-Faktor einbezogen.
- 14. Die Emissionseinsparung durch Abscheidung und geologische Speicherung von Kohlendioxid (eccs), die nicht bereits in ep berücksichtigt wurde, wird auf die durch Abscheidung und Sequestrierung von emittiertem CO2 vermiedenen Emissionen begrenzt, die unmittelbar mit der Gewinnung, dem Transport, der Verarbeitung und dem Vertrieb von Kraftstoff verbunden sind, sofern die Speicherung im Einklang mit der Richtlinie 2009/31/EG über die geologische Speicherung von Kohlendioxid erfolgt.
- 15. Die Emissionseinsparung durch CO2-Abscheidung und -ersetzung (eccr) steht in unmittelbarer Verbindung mit der Produktion des Biokraftstoffs oder Biomethans, dem sie zugeordnet wird, und wird begrenzt auf die durch Abscheidung von CO2 vermiedenen Emissionen, wobei der Kohlenstoff aus Biomasse stammt und bei der Produktion von Handelsprodukten und bei Dienstleistungen anstelle des CO2 fossilen Ursprungs verwendet wird.
- 16. Erzeugt eine Kraft-Wärme-Kopplungsanlage, die Wärme und/oder Elektrizität für ein Kraftstoffproduktionsverfahren liefert, für das Emissionen berechnet werden, überschüssige Elektrizität und/oder Nutzwärme, werden die Treibhausgasemissionen entsprechend der Temperatur der Wärme (die deren Nutzen widerspiegelt) auf die Elektrizität und die Nutzwärme aufgeteilt. Der Nutzanteil der Wärme ergibt sich durch Multiplikation ihres Energiegehalts mit dem Carnot'schen Wirkungsgrad Ch, der wie folgt berechnet wird:
wobei:
Th =Temperatur, gemessen als absolute Temperatur (Kelvin) der Nutzwärme am Lieferort
T0 =Umgebungstemperatur, festgelegt auf 273,15 Kelvin (0 °C)
Wenn die überschüssige Wärme zur Beheizung von Gebäuden ausgeführt wird, kann Ch für eine Temperatur unter 150 °C (423,15 Kelvin) alternativ wie folgt definiert werden:
Ch =Carnot'scher Wirkungsgrad für Wärme bei 150 °C (423,15 Kelvin) = 0,3546
Für die Zwecke dieser Berechnung ist der tatsächliche Wirkungsgrad zu verwenden, der als jährlich produzierte mechanische Energie, Elektrizität bzw. Wärme dividiert durch die jährlich eingesetzte Energie definiert wird.
Für die Zwecke dieser Berechnung bezeichnet der Begriff
- a) „Kraft-Wärme-Kopplung“ die gleichzeitige Erzeugung thermischer Energie und elektrischer und/oder mechanischer Energie in einem Prozess;
- b) „Nutzwärme“ die in einem KWK-Prozess zur Befriedigung eines wirtschaftlich vertretbaren Wärme- oder Kältebedarfs erzeugte Wärme;
- c) „wirtschaftlich vertretbarer Bedarf“ den Bedarf, der die benötigte Wärme- oder Kälteleistung nicht überschreitet und der sonst zu Marktbedingungen gedeckt würde.
- 17. Werden bei einem Kraftstoffproduktionsverfahren neben dem Kraftstoff, für den die Emissionen berechnet werden, weitere Erzeugnisse („Nebenerzeugnisse“) produziert, so werden die anfallenden Treibhausgasemissionen zwischen dem Kraftstoff oder dessen Zwischenerzeugnis und den Nebenerzeugnissen nach Maßgabe ihres Energiegehalts (der bei anderen Nebenerzeugnissen als Elektrizität durch den unteren Heizwert bestimmt wird) aufgeteilt. Die Treibhausgasintensität überschüssiger Nutzwärme und Elektrizität entspricht der Treibhausgasintensität der für ein Kraftstoffherstellungsverfahren gelieferten Wärme oder Elektrizität; sie wird durch Berechnung der Treibhausgasintensität aller Inputs in die Kraft-Wärme-Kopplungs-, konventionelle oder sonstige Anlage, die Wärme oder Elektrizität für ein Kraftstoffproduktionsverfahren liefert, und der Emissionen der betreffenden Anlage, einschließlich der Rohstoffe sowie CH4- und N2O-Emissionen, bestimmt. Im Falle der Kraft-Wärme-Kopplung erfolgt die Berechnung entsprechend Nummer 16.
- 18.  Für die Zwecke der Berechnung nach Nummer 17 sind die aufzuteilenden Emissionen eec + el + esca + die Anteile von ep, etd eccs und eccr, die bis einschließlich zu dem Verfahrensschritt anfallen, bei dem ein Nebenprodukt erzeugt wird. Wurden in einem früheren Verfahrensschritt Emissionen Nebenprodukten zugewiesen, so wird für diesen Zweck anstelle der Gesamtemissionen der Bruchteil dieser Emissionen verwendet, der im letzten Verfahrensschritt dem Zwischenerzeugnis zugeordnet wird.Im Falle von Biokraftstoffen und Biomethan werden sämtliche Nebenerzeugnisse, für die Zwecke der Berechnung berücksichtigt, Abfällen und Reststoffen werden keine Emissionen zugeordnet. Für die Zwecke der Berechnung wird der Energiegehalt von Nebenprodukten mit negativem Energiegehalt mit null angesetzt. Die Lebenszyklus-Treibhausgasemissionen von Abfällen und Reststoffen, einschließlich Baumspitzen und Ästen, Stroh,, Hülsen, Maiskolben und Nussschalen sowie Reststoffen aus der Verarbeitung einschließlich Rohglycerin (nicht raffiniertes Glycerin) und Bagasse werden bis zur Sammlung dieser Materialien auf null angesetzt, unabhängig davon, ob sie vor der Umwandlung ins Endprodukt zu Zwischenprodukten verarbeitet werden. Bei Kraftstoffen, die in anderen Raffinerien als einer Kombination von Verarbeitungsbetrieben mit konventionellen oder Kraft-Wärme-Kopplungsanlagen, die dem Verarbeitungsbetrieb Wärme und/oder Elektrizität liefern, hergestellt werden, ist die Analyseeinheit für die Zwecke der Berechnung nach Nummer 17 die Raffinerie. 
- 19. Bei Biokraftstoffen und Biomethan ist für die Zwecke der Berechnung nach Nummer 3 die fossile Vergleichsgröße EF(t) 94 gCO2eq/MJ.
D. 1. Disaggregierte Standardwerte für Biokraftstoffe
Disaggregierte Standardwerte für den Anbau: „eec“ gemäß Definition in Teil C dieses Anhangs einschließlich N2O- Bodenemissionen
| Herstellungsweg der Biokraftstoffe | Typische Treibhausgasemissionen (CO2-Äquivalent in g/MJ) | Standardtreibhausgasemissionen (CO2-Äquivalent in g/MJ) | 
| Ethanol aus Zuckerrüben | 9,6 | 9,6 | 
| Ethanol aus Mais | 25,5 | 25,5 | 
| Ethanol aus anderen Getreiden, ohne Mais | 27 | 27 | 
| Ethanol aus Zuckerrohr | 17,1 | 17,1 | 
| ETBE, Anteil aus erneuerbaren Quellen | Wie beim Herstellungsweg für Ethanol | |
| TAEE, Anteil aus erneuerbaren Quellen | Wie beim Herstellungsweg für Ethanol | |
| Biodiesel aus Raps | 32 | 32 | 
| Biodiesel aus Sonnenblumen | 26,1 | 26,1 | 
| Biodiesel aus Sojabohnen | 21,2 | 21,2 | 
| Biodiesel aus Palmöl | 26,0 | 26,0 | 
| Biodiesel aus Altspeiseöl | 0 | 0 | 
| Biodiesel aus ausgelassenen tierischen Fetten(**) | 0 | 0 | 
| Hydriertes Rapsöl | 33,4 | 33,4 | 
| Hydriertes Sonnenblumenöl | 26,9 | 26,9 | 
| Hydriertes Sojaöl | 22,1 | 22,1 | 
| Hydriertes Palmöl | 27,3 | 27,3 | 
| Hydriertes Altspeiseöl | 0 | 0 | 
| Hydriertes Tierische Fette (**) | 0 | 0 | 
| Reines Rapsöl | 33,4 | 33,4 | 
| Reines Sonnenblumenöl | 27,2 | 27,2 | 
| Reines Sojaöl | 22,2 | 22,2 | 
| Reines Rapsöl | 27,1 | 27,1 | 
| Reines Palmöl | 0 | 0 | 
(**) Gilt nur für Biokraftstoffe aus tierischen Nebenprodukten, die in der Verordnung (EG) Nr. 1069/2009 als Material der Kategorie 1 bzw. 2 eingestuft werden; in diesem Fall werden Emissionen im Zusammenhang mit der Entseuchung als Teil der Tierkörperverwertung nicht berücksichtigt.
Disaggregierte Standardwerte für den Anbau: „eec“ — ausschließlich für N2O-Bodenemissionen (diese sind bereits in den disaggregierten Werten in Tabelle „eec“ für Emissionen aus dem Anbau enthalten) Herstellungsweg der Biokraftstoffe
| Produktionsweg der Biokraftstoffe und flüssigen Biobrennstoffe | Treibhausgasemissionen — typischer Wert (gCO2eq/MJ) | Treibhausgasemissionen — Standardwert (gCO2eq/MJ) | 
| Ethanol aus Zuckerrüben | 4,9 | 4,9 | 
| Ethanol aus Mais | 13,7 | 13,7 | 
| Ethanol aus anderen Getreiden, ohne Mais | 14,1 | 14,1 | 
| Ethanol aus Zuckerrohr | 2,1 | 2,1 | 
| ETBE, Anteil aus erneuerbaren Quellen | Wie beim Produktionsweg für Ethanol | |
| TAEE, Anteil aus erneuerbaren Quellen | Wie beim Produktionsweg für Ethanol | |
| Biodiesel aus Raps | 17,6 | 17,6 | 
| Biodiesel aus Sonnenblumen | 12,2 | 12,2 | 
| Biodiesel aus Sojabohnen | 13,4 | 13,4 | 
| Biodiesel aus Palmöl | 16,5 | 16,5 | 
| Biodiesel aus Altspeiseöl | 0 | 0 | 
| Biodiesel aus ausgelassenen tierischen Fetten (*1) | 0 | 0 | 
| Hydriertes Rapsöl | 18,0 | 18,0 | 
| Hydriertes Sonnenblumenöl | 12,5 | 12,5 | 
| Hydriertes Sojaöl | 13,7 | 13,7 | 
| Hydriertes Palmöl | 16,9 | 16,9 | 
| Hydriertes Altspeiseöl | 0 | 0 | 
| Hydrierte tierische Fette (*1) | 0 | 0 | 
| Reines Rapsöl | 17,6 | 17,6 | 
| Reines Sonnenblumenöl | 12,2 | 12,2 | 
| Reines Sojaöl | 13,4 | 13,4 | 
| Reines Palmöl | 16,5 | 16,5 | 
| Reines Altspeiseöl | 0 | 0 | 
| (*1) Gilt nur für Biokraftstoffe aus tierischen Nebenprodukten, die in der Verordnung (EG) Nr. 1069/2009 als Material der Kategorie 1 bzw. 2 eingestuft werden; in diesem Fall werden Emissionen im Zusammenhang mit der Entseuchung als Teil der Tierkörperverwertung nicht berücksichtigt. | ||
Disaggregierte Standardwerte für die Verarbeitung: „ep“ gemäß Definition in Teil C dieses Anhangs
| Produktionsweg der Biokraftstoffe und flüssigen Biobrennstoffe | Treibhausgasemissionen — typischer Wert (gCO2eq/MJ) | Treibhausgasemissionen — Standardwert (gCO2eq/MJ) | |
| Ethanol aus Zuckerrüben (ohne Biogas aus Schlempe, Erdgas als Prozessbrennstoff in konventioneller Anlage) | 18,8 | 26,3 | |
| Ethanol aus Zuckerrüben (mit Biogas aus Schlempe, Erdgas als Prozessbrennstoff in konventioneller Anlage) | 9,7 | 13,6 | |
| Ethanol aus Zuckerrüben (ohne Biogas aus Schlempe, Erdgas als Prozessbrennstoff in KWK-Anlage (*1)) | 13,2 | 18,5 | |
| Ethanol aus Zuckerrüben (mit Biogas aus Schlempe, Erdgas als Prozessbrennstoff in KWK-Anlage (*1)) | 7,6 | 10,6 | |
| Ethanol aus Zuckerrüben (ohne Biogas aus Schlempe, Braunkohle als Prozessbrennstoff in KWK-Anlage (*1)) | 27,4 | 38,3 | |
| Ethanol aus Zuckerrüben (mit Biogas aus Schlempe, Braunkohle als Prozessbrennstoff in KWK-Anlage (*1)) | 15,7 | 22,0 | |
| Ethanol aus Mais (Erdgas als Prozessbrennstoff in konventioneller Anlage) | 20,8 | 29,1 | |
| Ethanol aus Mais (Erdgas als Prozessbrennstoff in KWK-Anlage (*1)) | 14,8 | 20,8 | |
| Ethanol aus Mais (Braunkohle als Prozessbrennstoff in KWK-Anlage (*1)) | 28,6 | 40,1 | |
| Ethanol aus Mais (forstwirtschaftliche Reststoffe als Prozessbrennstoff in KWK-Anlage (*1)) | 1,8 | 2,6 | |
| Ethanol aus anderen Getreiden, ohne Mais (Erdgas als Prozessbrennstoff in konventioneller Anlage) | 21,0 | 29,3 | |
| Ethanol aus anderen Getreiden, ohne Mais (Erdgas als Prozessbrennstoff in KWK-Anlage (*1)) | 15,1 | 21,1 | |
| Ethanol aus anderen Getreiden, ohne Mais (Braunkohle als Prozessbrennstoff in KWK-Anlage (*1)) | 30,3 | 42,5 | |
| Ethanol aus anderen Getreiden, ohne Mais (forstwirtschaftliche Reststoffe als Prozessbrennstoff in KWK-Anlage (*1)) | 1,5 | 2,2 | |
| Ethanol aus Zuckerrohr | 1,3 | 1,8 | |
| ETBE, Anteil aus erneuerbaren Quellen | Wie beim Produktionsweg für Ethanol | ||
| TAEE, Anteil aus erneuerbaren Quellen | Wie beim Produktionsweg für Ethanol | ||
| Biodiesel aus Raps | 11,7 | 16,3 | |
| Biodiesel aus Sonnenblumen | 11,8 | 16,5 | |
| Biodiesel aus Sojabohnen | 12,1 | 16,9 | |
| Biodiesel aus Palmöl (offenes Abwasserbecken) | 30,4 | 42,6 | |
| Biodiesel aus Palmöl (Verarbeitung mit Methanbindung an der Ölmühle) | 13,2 | 18,5 | |
| Biodiesel aus Altspeiseöl | 9,3 | 13,0 | |
| Biodiesel aus ausgelassenen tierischen Fetten (*2) | 13,6 | 19,1 | |
| Hydriertes Rapsöl | 10,7 | 15,0 | |
| Hydriertes Sonnenblumenöl | 10,5 | 14,7 | |
| Hydriertes Sojaöl | 10,9 | 15,2 | |
| Hydriertes Palmöl (offenes Abwasserbecken) | 27,8 | 38,9 | |
| Hydriertes Palmöl (Verarbeitung mit Methanbindung an der Ölmühle) | 9,7 | 13,6 | |
| Hydriertes Altspeiseöl | 10,2 | 14,3 | |
| Hydrierte tierische Fette (*2) | 14,5 | 20,3 | |
| Reines Rapsöl | 3,7 | 5,2 | |
| Reines Sonnenblumenöl | 3,8 | 5,4 | |
| Reines Sojaöl | 4,2 | 5,9 | |
| Reines Palmöl (offenes Abwasserbecken) | 22,6 | 31,7 | |
| Reines Palmöl (Verarbeitung mit Methanbindung an der Ölmühle) | 4,7 | 6,5 | |
| Reines Altspeiseöl | 0,6 | 0,8 | |
| (*1) Standardwerte für KWK-Verfahren gelten nur, wenn die gesamte Prozesswärme durch KWK erzeugt wird. (*2) Hinweis: Gilt nur für Biokraftstoffe aus tierischen Nebenprodukten, die in der Verordnung (EG) Nr. 1069/2009 als Material der Kategorie 1 bzw. 2 eingestuft werden; in diesem Fall werden Emissionen im Zusammenhang mit der Entseuchung als Teil der Tierkörperverwertung nicht berücksichtigt | |||
Disaggregierte Standardwerte ausschließlich für die Ölgewinnung (diese sind bereits in den disaggregierten Werten in Tabelle „ep“ für Emissionen aus der Verarbeitung enthalten)
| Produktionsweg der Biokraftstoffe und flüssigen Biobrennstoffe | Treibhausgasemissionen — typischer Wert (gCO2eq/MJ) | Treibhausgasemissionen — Standardwert (gCO2eq/MJ) | 
| Biodiesel aus Raps | 3,0 | 4,2 | 
| Biodiesel aus Sonnenblumen | 2,9 | 4,0 | 
| Biodiesel aus Sojabohnen | 3,2 | 4,4 | 
| Biodiesel aus Palmöl (offenes Abwasserbecken) | 20,9 | 29,2 | 
| Biodiesel aus Palmöl (Verarbeitung mit Methanbindung an der Ölmühle) | 3,7 | 5,1 | 
| Biodiesel aus Altspeiseöl | 0 | 0 | 
| Biodiesel aus ausgelassenen tierischen Fetten (*1) | 4,3 | 6,1 | 
| Hydriertes Rapsöl | 3,1 | 4,4 | 
| Hydriertes Sonnenblumenöl | 3,0 | 4,1 | 
| Hydriertes Sojaöl | 3,3 | 4,6 | 
| Reines Palmöl (offenes Abwasserbecken) | 21,9 | 30,7 | 
| Hydriertes Palmöl (Verarbeitung mit Methanbindung an der Ölmühle) | 3,8 | 5,4 | 
| Hydriertes Altspeiseöl | 0 | 0 | 
| Hydrierte tierische Fette (*1) | 4,3 | 6,0 | 
| Reines Rapsöl | 3,1 | 4,4 | 
| Reines Sonnenblumenöl | 3,0 | 4,2 | 
| Reines Sojaöl | 3,4 | 4,7 | 
| Reines Palmöl (offenes Abwasserbecken) | 21,8 | 30,5 | 
| Reines Palmöl (Verarbeitung mit Methanbindung an der Ölmühle) | 3,8 | 5,3 | 
| Reines Altspeiseöl | 0 | 0 | 
| (*1) Hinweis: Gilt nur für Biokraftstoffe aus tierischen Nebenprodukten, die in der Verordnung (EG) Nr. 1069/2009 als Material der Kategorie 1 bzw. 2 eingestuft werden; in diesem Fall werden Emissionen im Zusammenhang mit der Entseuchung als Teil der Tierkörperverwertung nicht berücksichtigt. | ||
Disaggregierte Standardwerte für den Transport und Vertrieb: „etd“ gemäß Definition in Teil C dieses Anhangs
| Produktionsweg der Biokraftstoffe und flüssigen Biobrennstoffe | Treibhausgasemissionen — typischer Wert (gCO2eq/MJ) | Treibhausgasemissionen — Standardwert (gCO2eq/MJ) | 
| Ethanol aus Zuckerrüben (ohne Biogas aus Schlempe, Erdgas als Prozessbrennstoff in konventioneller Anlage) | 2,3 | 2,3 | 
| Ethanol aus Zuckerrüben (mit Biogas aus Schlempe, Erdgas als Prozessbrennstoff in konventioneller Anlage) | 2,3 | 2,3 | 
| Ethanol aus Zuckerrüben (ohne Biogas aus Schlempe, Erdgas als Prozessbrennstoff in KWK-Anlage (*1)) | 2,3 | 2,3 | 
| Ethanol aus Zuckerrüben (mit Biogas aus Schlempe, Erdgas als Prozessbrennstoff in KWK-Anlage (*1)) | 2,3 | 2,3 | 
| Ethanol aus Zuckerrüben (ohne Biogas aus Schlempe, Braunkohle als Prozessbrennstoff in KWK-Anlage (*1)) | 2,3 | 2,3 | 
| Ethanol aus Zuckerrüben (mit Biogas aus Schlempe, Braunkohle als Prozessbrennstoff in KWK-Anlage (*1)) | 2,3 | 2,3 | 
| Ethanol aus Mais (Erdgas als Prozessbrennstoff in KWK-Anlage (*1)) | 2,2 | 2,2 | 
| Ethanol aus Mais (Erdgas als Prozessbrennstoff in konventioneller Anlage) | 2,2 | 2,2 | 
| Ethanol aus Mais (Braunkohle als Prozessbrennstoff in KWK-Anlage (*1)) | 2,2 | 2,2 | 
| Ethanol aus Mais (forstwirtschaftliche Reststoffe als Prozessbrennstoff in KWK-Anlage (*1)) | 2,2 | 2,2 | 
| Ethanol aus anderen Getreiden, ohne Mais (Erdgas als Prozessbrennstoff in konventioneller Anlage) | 2,2 | 2,2 | 
| Ethanol aus anderen Getreiden, ohne Mais (Erdgas als Prozessbrennstoff in KWK-Anlage (*1)) | 2,2 | 2,2 | 
| Ethanol aus anderen Getreiden, ohne Mais (Braunkohle als Prozessbrennstoff in KWK-Anlage (*1)) | 2,2 | 2,2 | 
| Ethanol aus anderen Getreiden, ohne Mais (forstwirtschaftliche Reststoffe als Prozessbrennstoff in KWK-Anlage (*1)) | 2,2 | 2,2 | 
| Ethanol aus Zuckerrohr | 9,7 | 9,7 | 
| ETBE, Anteil aus erneuerbaren Quellen | Wie beim Produktionsweg für Ethanol | |
| TAEE, Anteil aus erneuerbaren Quellen | Wie beim Produktionsweg für Ethanol | |
| Biodiesel aus Raps | 1,8 | 1,8 | 
| Biodiesel aus Sonnenblumen | 2,1 | 2,1 | 
| Biodiesel aus Sojabohnen | 8,9 | 8,9 | 
| Biodiesel aus Palmöl (offenes Abwasserbecken) | 6,9 | 6,9 | 
| Biodiesel aus Palmöl (Verarbeitung mit Methanbindung an der Ölmühle) | 6,9 | 6,9 | 
| Biodiesel aus Altspeiseöl | 1,9 | 1,9 | 
| Biodiesel aus ausgelassenen tierischen Fetten (*2) | 1,6 | 1,6 | 
| Hydriertes Rapsöl | 1,7 | 1,7 | 
| Hydriertes Sonnenblumenöl | 2,0 | 2,0 | 
| Hydriertes Sojaöl | 9,2 | 9,2 | 
| Reines Palmöl (offenes Abwasserbecken) | 7,0 | 7,0 | 
| Hydriertes Palmöl (Verarbeitung mit Methanbindung an der Ölmühle) | 7,0 | 7,0 | 
| Hydriertes Altspeiseöl | 1,7 | 1,7 | 
| Hydrierte tierische Fette (*2) | 1,5 | 1,5 | 
| Reines Rapsöl | 1,4 | 1,4 | 
| Reines Sonnenblumenöl | 1,7 | 1,7 | 
| Reines Sojaöl | 8,8 | 8,8 | 
| Reines Palmöl (offenes Abwasserbecken) | 6,7 | 6,7 | 
| Reines Palmöl (Verarbeitung mit Methanbindung an der Ölmühle) | 6,7 | 6,7 | 
| Reines Altspeiseöl | 1,4 | 1,4 | 
| (*1) Standardwerte für KWK-Verfahren gelten nur, wenn die gesamte Prozesswärme durch KWK erzeugt wird. (*2) Hinweis: Gilt nur für Biokraftstoffe aus tierischen Nebenprodukten, die in der Verordnung (EG) Nr. 1069/2009; in diesem Fall werden Emissionen im Zusammenhang mit der Entseuchung als Teil der Tierkörperverwertung nicht berücksichtigt. | ||
Disaggregierte Standardwerte ausschließlich für den Transport und Vertrieb des fertigen Biokraftstoffs. Diese sind bereits in der Tabelle als Emissionen bei Transport und Vertrieb „etd“ gemäß Definition in Teil C dieses Anhangs enthalten; die folgenden Werte können jedoch hilfreich sein, wenn ein Wirtschaftsteilnehmer die tatsächlichen Transportemissionen nur für den Transport von Kulturpflanzen oder Öl angeben will.
| Produktionsweg der Biokraftstoffe und flüssigen Biobrennstoffe | Treibhausgasemissionen — typischer Wert (gCO2eq/MJ) | Treibhausgasemissionen — Standardwert (gCO2eq/MJ) | 
| Ethanol aus Zuckerrüben (ohne Biogas aus Schlempe, Erdgas als Prozessbrennstoff in konventioneller Anlage) | 1,6 | 1,6 | 
| Ethanol aus Zuckerrüben (mit Biogas aus Schlempe, Erdgas als Prozessbrennstoff in konventioneller Anlage) | 1,6 | 1,6 | 
| Ethanol aus Zuckerrüben (ohne Biogas aus Schlempe, Erdgas als Prozessbrennstoff in KWK-Anlage (*1)) | 1,6 | 1,6 | 
| Ethanol aus Mais (Erdgas als Prozessbrennstoff in KWK-Anlage (*1)) | 1,6 | 1,6 | 
| Ethanol aus Zuckerrüben (ohne Biogas aus Schlempe, Braunkohle als Prozessbrennstoff in KWK-Anlage (*1)) | 1,6 | 1,6 | 
| Ethanol aus Zuckerrüben (mit Biogas aus Schlempe, Braunkohle als Prozessbrennstoff in KWK-Anlage (*1)) | 1,6 | 1,6 | 
| Ethanol aus Mais (Erdgas als Prozessbrennstoff in konventioneller Anlage) | 1,6 | 1,6 | 
| Ethanol aus Mais (Erdgas als Prozessbrennstoff in KWK-Anlage (*1)) | 1,6 | 1,6 | 
| Ethanol aus Mais (Braunkohle als Prozessbrennstoff in KWK-Anlage (*1)) | 1,6 | 1,6 | 
| Ethanol aus Mais (forstwirtschaftliche Reststoffe als Prozessbrennstoff in KWK-Anlage (*1)) | 1,6 | 1,6 | 
| Ethanol aus anderen Getreiden, ohne Mais (Erdgas als Prozessbrennstoff in konventioneller Anlage) | 1,6 | 1,6 | 
| Ethanol aus anderen Getreiden, ohne Mais (Erdgas als Prozessbrennstoff in KWK-Anlage (*1)) | 1,6 | 1,6 | 
| Ethanol aus anderen Getreiden, ohne Mais (Braunkohle als Prozessbrennstoff in KWK-Anlage (*1)) | 1,6 | 1,6 | 
| Ethanol aus anderen Getreiden, ohne Mais (forstwirtschaftliche Reststoffe als Prozessbrennstoff in KWK-Anlage (*1)) | 1,6 | 1,6 | 
| Ethanol aus Zuckerrohr | 6,0 | 6,0 | 
| Ethyl-Tertiär-Butylether (ETBE), Anteil aus Ethanol aus erneuerbaren Quellen | Wird angesehen wie beim Produktionsweg für Ethanol | |
| Tertiär-Amyl-Ethyl-Ether (TAEE), Anteil aus Ethanol aus erneuerbaren Quellen | Wird angesehen wie beim Produktionsweg für Ethanol | |
| Biodiesel aus Raps | 1,3 | 1,3 | 
| Biodiesel aus Sonnenblumen | 1,3 | 1,3 | 
| Biodiesel aus Sojabohnen | 1,3 | 1,3 | 
| Biodiesel aus Palmöl (offenes Abwasserbecken) | 1,3 | 1,3 | 
| Biodiesel aus Palmöl (Verarbeitung mit Methanbindung an der Ölmühle) | 1,3 | 1,3 | 
| Biodiesel aus Altspeiseöl | 1,3 | 1,3 | 
| Biodiesel aus ausgelassenen tierischen Fetten (*2) | 1,3 | 1,3 | 
| Hydriertes Rapsöl | 1,2 | 1,2 | 
| Hydriertes Sonnenblumenöl | 1,2 | 1,2 | 
| Hydriertes Sojaöl | 1,2 | 1,2 | 
| Reines Palmöl (offenes Abwasserbecken) | 1,2 | 1,2 | 
| Hydriertes Palmöl (Verarbeitung mit Methanbindung an der Ölmühle) | 1,2 | 1,2 | 
| Hydriertes Altspeiseöl | 1,2 | 1,2 | 
| Hydrierte tierische Fette (*2) | 1,2 | 1,2 | 
| Reines Rapsöl | 0,8 | 0,8 | 
| Reines Sonnenblumenöl | 0,8 | 0,8 | 
| Reines Sojaöl | 0,8 | 0,8 | 
| Reines Palmöl (offenes Abwasserbecken) | 0,8 | 0,8 | 
| Reines Palmöl (Verarbeitung mit Methanbindung an der Ölmühle) | 0,8 | 0,8 | 
| Reines Altspeiseöl | 0,8 | 0,8 | 
| (*1) Standardwerte für KWK-Verfahren gelten nur, wenn die gesamte Prozesswärme durch KWK erzeugt wird. (*2) Hinweis: Gilt nur für Biokraftstoffe aus tierischen Nebenprodukten, die in der Verordnung (EG) Nr. 1069/2009 als Material der Kategorie 1 bzw. 2 eingestuft werden; in diesem Fall werden Emissionen im Zusammenhang mit der Entseuchung als Teil der Tierkörperverwertung nicht berücksichtigt. | ||
Insgesamt für Anbau, Verarbeitung, Transport und Vertrieb
| Produktionsweg der Biokraftstoffe und flüssigen Biobrennstoffe | Treibhausgasemissionen — typischer Wert (gCO2eq/MJ) | Treibhausgasemissionen — Standardwert (gCO2eq/MJ) | 
| Ethanol aus Zuckerrüben (ohne Biogas aus Schlempe, Erdgas als Prozessbrennstoff in konventioneller Anlage) | 30,7 | 38,2 | 
| Ethanol aus Zuckerrüben (mit Biogas aus Schlempe, Erdgas als Prozessbrennstoff in konventioneller Anlage) | 21,6 | 25,5 | 
| Ethanol aus Zuckerrüben (ohne Biogas aus Schlempe, Erdgas als Prozessbrennstoff in KWK-Anlage (*1)) | 25,1 | 30,4 | 
| Ethanol aus Zuckerrüben (mit Biogas aus Schlempe, Erdgas als Prozessbrennstoff in KWK-Anlage (*1)) | 19,5 | 22,5 | 
| Ethanol aus Zuckerrüben (ohne Biogas aus Schlempe, Braunkohle als Prozessbrennstoff in KWK-Anlage (*1)) | 39,3 | 50,2 | 
| Ethanol aus Zuckerrüben (mit Biogas aus Schlempe, Braunkohle als Prozessbrennstoff in KWK-Anlage (*1)) | 27,6 | 33,9 | 
| Ethanol aus Mais (Erdgas als Prozessbrennstoff in konventioneller Anlage) | 48,5 | 56,8 | 
| Ethanol aus Mais (Erdgas als Prozessbrennstoff in KWK-Anlage (*1)) | 42,5 | 48,5 | 
| Ethanol aus Mais (Braunkohle als Prozessbrennstoff in KWK-Anlage (*1)) | 56,3 | 67,8 | 
| Ethanol aus Mais (forstwirtschaftliche Reststoffe als Prozessbrennstoff in KWK-Anlage (*1)) | 29,5 | 30,3 | 
| Ethanol aus anderen Getreiden, ohne Mais (Erdgas als Prozessbrennstoff in konventioneller Anlage) | 50,2 | 58,5 | 
| Ethanol aus anderen Getreiden, ohne Mais (Erdgas als Prozessbrennstoff in KWK-Anlage (*1)) | 44,3 | 50,3 | 
| Ethanol aus anderen Getreiden, ohne Mais (Braunkohle als Prozessbrennstoff in KWK-Anlage (*1)) | 59,5 | 71,7 | 
| Ethanol aus anderen Getreiden, ohne Mais (forstwirtschaftliche Reststoffe als Prozessbrennstoff in KWK-Anlage (*1)) | 30,7 | 31,4 | 
| Ethanol aus Zuckerrohr | 28,1 | 28,6 | 
| ETBE, Anteil aus erneuerbaren Quellen | Wie beim Produktionsweg für Ethanol | |
| TAEE, Anteil aus erneuerbaren Quellen | Wie beim Produktionsweg für Ethanol | |
| Biodiesel aus Raps | 45,5 | 50,1 | 
| Biodiesel aus Sonnenblumen | 40,0 | 44,7 | 
| Biodiesel aus Sojabohnen | 42,2 | 47,0 | 
| Biodiesel aus Palmöl (offenes Abwasserbecken) | 63,3 | 75,5 | 
| Biodiesel aus Palmöl (Verarbeitung mit Methanbindung an der Ölmühle) | 46,1 | 51,4 | 
| Biodiesel aus Altspeiseöl | 11,2 | 14,9 | 
| Biodiesel aus tierischen Fetten (*2) | 15,2 | 20,7 | 
| Hydriertes Rapsöl | 45,8 | 50,1 | 
| Hydriertes Sonnenblumenöl | 39,4 | 43,6 | 
| Hydriertes Sojaöl | 42,2 | 46,5 | 
| Hydriertes Palmöl (offenes Abwasserbecken) | 62,1 | 73,2 | 
| Hydriertes Palmöl (Verarbeitung mit Methanbindung an der Ölmühle) | 44,0 | 47,9 | 
| Hydriertes Altspeiseöl | 11,9 | 16,0 | 
| Hydrierte tierische Fette (*2) | 16,0 | 21,8 | 
| Reines Rapsöl | 38,5 | 40,0 | 
| Reines Sonnenblumenöl | 32,7 | 34,3 | 
| Reines Sojaöl | 35,2 | 36,9 | 
| Reines Palmöl (offenes Abwasserbecken) | 56,4 | 65,5 | 
| Reines Palmöl (Verarbeitung mit Methanbindung an der Ölmühle) | 38,5 | 40,3 | 
| Reines Altspeiseöl | 2,0 | 2,2 | 
| (*1) Standardwerte für KWK-Verfahren gelten nur, wenn die gesamte Prozesswärme durch KWK erzeugt wird. (*2) Hinweis: Gilt nur für Biokraftstoffe aus tierischen Nebenprodukten, die in der Verordnung (EG) Nr. 1069/2009 als Material der Kategorie 1 bzw. 2 eingestuft werden; in diesem Fall werden Emissionen im Zusammenhang mit der Entseuchung als Teil der Tierkörperverwertung nicht berücksichtigt. | ||
2. Disaggregierte Standardwerte für Biomethan
| Biomethanproduktionssystem | Technologische Optionen | TYPISCHER WERT [gCO2eq/MJ] | STANDARDWERT [gCO2eq/MJ] | |||||||||||
| Anbau | Verarbeitung | Aufbereitung | Transport | Kompression an der Tankstelle | Gutschrift für Mist-/Güllenutzung | Anbau | Verarbeitung | Aufbereitung | Transport | Kompression an der Tankstelle | Gutschrift für Mist-/ Güllenutzung | |||
| Gülle | Offenes Gärrückstandslager | keine Abgasverbrennung | 0,0 | 84,2 | 19,5 | 1,0 | 3,3 | – 124,4 | 0,0 | 117,9 | 27,3 | 1,0 | 4,6 | – 124,4 | 
| Abgasverbrennung | 0,0 | 84,2 | 4,5 | 1,0 | 3,3 | – 124,4 | 0,0 | 117,9 | 6,3 | 1,0 | 4,6 | – 124,4 | ||
| Geschlossenes Gärrückstandslager | keine Abgasverbrennung | 0,0 | 3,2 | 19,5 | 0,9 | 3,3 | – 111,9 | 0,0 | 4,4 | 27,3 | 0,9 | 4,6 | – 111,9 | |
| Abgasverbrennung | 0,0 | 3,2 | 4,5 | 0,9 | 3,3 | – 111,9 | 0,0 | 4,4 | 6,3 | 0,9 | 4,6 | – 111,9 | ||
| Mais, gesamte Pflanze | Offenes Gärrückstandslager | keine Abgasverbrennung | 18,1 | 20,1 | 19,5 | 0,0 | 3,3 | — | 18,1 | 28,1 | 27,3 | 0,0 | 4,6 | — | 
| Abgasverbrennung | 18,1 | 20,1 | 4,5 | 0,0 | 3,3 | — | 18,1 | 28,1 | 6,3 | 0,0 | 4,6 | — | ||
| Geschlossenes Gärrückstandslager | keine Abgasverbrennung | 17,6 | 4,3 | 19,5 | 0,0 | 3,3 | — | 17,6 | 6,0 | 27,3 | 0,0 | 4,6 | — | |
| Abgasverbrennung | 17,6 | 4,3 | 4,5 | 0,0 | 3,3 | — | 17,6 | 6,0 | 6,3 | 0,0 | 4,6 | — | ||
| Bioabfall | Offenes Gärrückstandslager | keine Abgasverbrennung | 0,0 | 30,6 | 19,5 | 0,6 | 3,3 | — | 0,0 | 42,8 | 27,3 | 0,6 | 4,6 | — | 
| Abgasverbrennung | 0,0 | 30,6 | 4,5 | 0,6 | 3,3 | — | 0,0 | 42,8 | 6,3 | 0,6 | 4,6 | — | ||
| Geschlossenes Gärrückstandslager | keine Abgasverbrennung | 0,0 | 5,1 | 19,5 | 0,5 | 3,3 | — | 0,0 | 7,2 | 27,3 | 0,5 | 4,6 | — | |
| Abgasverbrennung | 0,0 | 5,1 | 4,5 | 0,5 | 3,3 | — | 0,0 | 7,2 | 6,3 | 0,5 | 4,6 | — | ||
Typische Werte und Standardwerte für Biomethan
| Biomethanproduktionssystem | Technologische Optionen | Treibhausgas-emissionen — typischer Wert (gCO2eq/MJ) | Treibhausgas-emissionen — Standardwert (gCO2eq/MJ) | 
| Biomethan aus Gülle | Offenes Gärrückstandslager, keine Abgasverbrennung (1) | – 20 | 22 | 
| Offenes Gärrückstandslager, Abgasverbrennung (2) | – 35 | 1 | |
| Geschlossenes Gärrück-standslager, keine Abgasverbrennung | – 88 | – 79 | |
| Geschlossenes Gärrück-standslager, Abgasverbrennung | – 103 | – 100 | |
| Biomethan aus Mais (gesamte Pflanze) | Offenes Gärrück-standslager, keine Abgasverbrennung | 58 | 73 | 
| Offenes Gärrück-standslager, Abgasverbrennung | 43 | 52 | |
| Geschlossenes Gärrück-standslager, keine Abgasverbrennung | 41 | 51 | |
| Geschlossenes Gärrück-standslager, Abgasverbrennung | 26 | 30 | |
| Biomethan aus Bioabfall | Offenes Gärrück-standslager, keine Abgasverbrennung | 51 | 71 | 
| Offenes Gärrück-standslager, Abgasverbrennung | 36 | 50 | |
| Geschlossenes Gärrück-standslager, keine Abgasverbrennung | 25 | 35 | |
| Geschlossenes Gärrück-standslager, Abgasverbrennung | 10 | 14 | |
| (1) Diese Kategorie umfasst die folgenden technologischen Kategorien zur Aufbereitung von Biogas zu Biomethan: Druckwechsel-Adsorption (Pressure Swing Adsorption — PSA), Druckwasserwäsche (Pressurised Water Scrubbing — PWS), Membrantrenntechnik, kryogene Trennung und physikalische Absorption mit einem organischen Lösungsmittel (Organic Physical Scrubbing — OPS). Dies schließt die Emission von 0,03 MJ CH4/MJ Biomethan für die Emission von Methan in den Abgasen ein. (2) Diese Kategorie umfasst die folgenden technologischen Kategorien zur Aufbereitung von Biogas zu Biomethan: Druckwasserwäsche (Pressurised Water Scrubbing — PWS), sofern das Wasser aufbereitet wird, Druckwechsel-Adsorption (Pressure Swing Adsorption — PSA), chemische Absorption (Chemical Scrubbing), physikalische Absorption mit einem organischen Lösungsmittel (Organic Physical Scrubbing — OPS), Membrantrenntechnik und kryogene Trennung. Für diese Kategorie werden keine Methanemissionen berücksichtigt (das Methan im Abgas verbrennt gegebenenfalls). | |||
Typische Werte und Standardwerte — Biomethan — Vermischung von Mist/Gülle und Mais: Treibhausgasemissionen mit Anteilsangaben auf Grundlage von Frischmasse
| Biomethanproduktionssystem | Technologische Optionen | Typischer Wert | Standardwert | 
| (gCO2eq/MJ) | (gCO2eq/MJ) | ||
| Mist/Gülle — Mais 80 % — 20 % | Offenes Gärrückstandslager, keine Abgasverbrennung | 32 | 57 | 
| Offenes Gärrückstandslager, Abgasverbrennung | 17 | 36 | |
| Geschlossenes Gärrückstandslager, keine Abgasverbrennung | – 1 | 9 | |
| Geschlossenes Gärrückstandslager, Abgasverbrennung | – 16 | – 12 | |
| Mist/Gülle — Mais 70 % — 30 % | Offenes Gärrückstandslager, keine Abgasverbrennung | 41 | 62 | 
| Offenes Gärrückstandslager, Abgasverbrennung | 26 | 41 | |
| Geschlossenes Gärrückstandslager, keine Abgasverbrennung | 13 | 22 | |
| Geschlossenes Gärrückstandslager, Abgasverbrennung | – 2 | 1 | |
| Mist/Gülle — Mais 60 % – 40 % | Offenes Gärrückstandslager, keine Abgasverbrennung | 46 | 66 | 
| Offenes Gärrückstandslager, Abgasverbrennung | 31 | 45 | |
| Geschlossenes Gärrückstandslager, keine Abgasverbrennung | 22 | 31 | |
| Geschlossenes Gärrückstandslager, Abgasverbrennung | 7 | 10 | |
Bei Biomethan, das in Form von komprimiertem Biomethan als Kraftstoff für den Verkehr verwendet wird, müssen zu den typischen Werten 3,3 gCO2eq/MJ Biomethan und zu den Standardwerten 4,6 gCO2eq/MJ Biomethan addiert werden.
- E. Geschätzte disaggregierte Standardwerte für künftige Biokraftstoffe, die im Januar 2016 nicht oder nur in vernachlässigbaren Mengen auf dem Markt waren
Disaggregierte Standardwerte für den Anbau: „eec“ gemäß Definition in Teil C dieses Anhangs einschließlich N2O- Emissionen (darunter Späne von Holzabfall oder Kulturholz)
| Produktionsweg der Biokraftstoffe und flüssigen Biobrennstoffe | Treibhausgasemissionen — typischer Wert (gCO2eq/MJ) | Treibhausgasemissionen — Standardwert (gCO2eq/MJ) | 
| Ethanol aus Weizenstroh | 1,8 | 1,8 | 
| Fischer-Tropsch-Diesel aus Abfallholz in Einzelanlage | 3,3 | 3,3 | 
| Fischer-Tropsch-Diesel aus Kulturholz in Einzelanlage | 8,2 | 8,2 | 
| Fischer-Tropsch-Ottokraftstoff aus Abfallholz in Einzelanlage | 3,3 | 3,3 | 
| Fischer-Tropsch-Ottokraftstoff aus Kulturholz in Einzelanlage | 8,2 | 8,2 | 
| Dimethylether (DME) aus Abfallholz in Einzelanlage | 3,1 | 3,1 | 
| Dimethylether (DME) aus Kulturholz in Einzelanlage | 7,6 | 7,6 | 
| Methanol aus Abfallholz in Einzelanlage | 3,1 | 3,1 | 
| Methanol aus Kulturholz in Einzelanlage | 7,6 | 7,6 | 
| Fischer-Tropsch-Diesel aus der Vergasung von Schwarzlauge, integriert in Zellstofffabrik | 2,5 | 2,5 | 
| Fischer-Tropsch-Ottokraftstoff aus der Vergasung von Schwarzlauge, integriert in Zellstofffabrik | 2,5 | 2,5 | 
| Dimethylether (DME) aus der Vergasung von Schwarzlauge, integriert in Zellstofffabrik | 2,5 | 2,5 | 
| Methanol aus der Vergasung von Schwarzlauge, integriert in Zellstofffabrik | 2,5 | 2,5 | 
| MTBE, Anteil aus erneuerbaren Quellen | Wie beim Produktionsweg für Methanol | |
Disaggregierte Standardwerte für N2O-Bodenemissionen (diese sind bereits in den disaggregierten Werten in Tabelle „eec“ für Emissionen aus dem Anbau enthalten)
| Produktionsweg der Biokraftstoffe und flüssigen Biobrennstoffe | Treibhausgasemissionen — typischer Wert (gCO2eq/MJ) | Treibhausgasemissionen — Standardwert (gCO2eq/MJ) | 
| Ethanol aus Weizenstroh | 0 | 0 | 
| Fischer-Tropsch-Diesel aus Abfallholz in Einzelanlage | 0 | 0 | 
| Fischer-Tropsch-Diesel aus Kulturholz in Einzelanlage | 4,4 | 4,4 | 
| Fischer-Tropsch-Ottokraftstoff aus Abfallholz in Einzelanlage | 0 | 0 | 
| Fischer-Tropsch-Ottokraftstoff aus Kulturholz in Einzelanlage | 4,4 | 4,4 | 
| Dimethylether (DME) aus Abfallholz in Einzelanlage | 0 | 0 | 
| Dimethylether (DME) aus Kulturholz in Einzelanlage | 4,1 | 4,1 | 
| Methanol aus Abfallholz in Einzelanlage | 0 | 0 | 
| Methanol aus Kulturholz in Einzelanlage | 4,1 | 4,1 | 
| Fischer-Tropsch-Diesel aus der Vergasung von Schwarzlauge, integriert in Zellstofffabrik | 0 | 0 | 
| Fischer-Tropsch-Ottokraftstoff aus der Vergasung von Schwarzlauge, integriert in Zellstofffabrik | 0 | 0 | 
| Dimethylether (DME) aus der Vergasung von Schwarzlauge, integriert in Zellstofffabrik | 0 | 0 | 
| Methanol aus der Vergasung von Schwarzlauge, integriert in Zellstofffabrik | 0 | 0 | 
| MTBE, Anteil aus erneuerbaren Quellen | Wie beim Produktionsweg für Methanol | |
Disaggregierte Standardwerte für die Verarbeitung: „ep“ gemäß Definition in Teil C dieses Anhangs
| Produktionsweg der Biokraftstoffe und flüssigen Biobrennstoffe | Treibhausgasemissionen — typischer Wert (gCO2eq/MJ) | Treibhausgasemissionen — Standardwert (gCO2eq/MJ) | 
| Ethanol aus Weizenstroh | 4,8 | 6,8 | 
| Fischer-Tropsch-Diesel aus Abfallholz in Einzelanlage | 0,1 | 0,1 | 
| Fischer-Tropsch-Diesel aus Kulturholz in Einzelanlage | 0,1 | 0,1 | 
| Fischer-Tropsch-Ottokraftstoff aus Abfallholz in Einzelanlage | 0,1 | 0,1 | 
| Fischer-Tropsch-Ottokraftstoff aus Kulturholz in Einzelanlage | 0,1 | 0,1 | 
| Dimethylether (DME) aus Abfallholz in Einzelanlage | 0 | 0 | 
| Dimethylether (DME) aus Kulturholz in Einzelanlage | 0 | 0 | 
| Methanol aus Abfallholz in Einzelanlage | 0 | 0 | 
| Methanol aus Kulturholz in Einzelanlage | 0 | 0 | 
| Fischer-Tropsch-Diesel aus der Vergasung von Schwarzlauge, integriert in Zellstofffabrik | 0 | 0 | 
| Fischer-Tropsch-Ottokraftstoff aus der Vergasung von Schwarzlauge, integriert in Zellstofffabrik | 0 | 0 | 
| Dimethylether (DME) aus der Vergasung von Schwarzlauge, integriert in Zellstofffabrik | 0 | 0 | 
| Methanol aus der Vergasung von Schwarzlauge, integriert in Zellstofffabrik | 0 | 0 | 
| MTBE, Anteil aus erneuerbaren Quellen | Wie beim Produktionsweg für Methanol | |
Disaggregierte Standardwerte für den Transport und Vertrieb: „etd“ gemäß Definition in Teil C dieses Anhangs
| Produktionsweg der Biokraftstoffe und flüssigen Biobrennstoffe | Treibhausgasemissionen — typischer Wert (gCO2eq/MJ) | Treibhausgasemissionen — Standardwert (gCO2eq/MJ) | 
| Ethanol aus Weizenstroh | 7,1 | 7,1 | 
| Fischer-Tropsch-Diesel aus Abfallholz in Einzelanlage | 12,2 | 12,2 | 
| Fischer-Tropsch-Diesel aus Kulturholz in Einzelanlage | 8,4 | 8,4 | 
| Fischer-Tropsch-Ottokraftstoff aus Abfallholz in Einzelanlage | 12,2 | 12,2 | 
| Fischer-Tropsch-Ottokraftstoff aus Kulturholz in Einzelanlage | 8,4 | 8,4 | 
| Dimethylether (DME) aus Abfallholz in Einzelanlage | 12,1 | 12,1 | 
| Dimethylether (DME) aus Kulturholz in Einzelanlage | 8,6 | 8,6 | 
| Methanol aus Abfallholz in Einzelanlage | 12,1 | 12,1 | 
| Methanol aus Kulturholz in Einzelanlage | 8,6 | 8,6 | 
| Fischer-Tropsch-Diesel aus der Vergasung von Schwarzlauge, integriert in Zellstofffabrik | 7,7 | 7,7 | 
| Fischer-Tropsch-Ottokraftstoff aus der Vergasung von Schwarzlauge, integriert in Zellstofffabrik | 7,9 | 7,9 | 
| Dimethylether (DME) aus der Vergasung von Schwarzlauge, integriert in Zellstofffabrik | 7,7 | 7,7 | 
| Methanol aus der Vergasung von Schwarzlauge, integriert in Zellstofffabrik | 7,9 | 7,9 | 
| MTBE, Anteil aus erneuerbaren Quellen | Wie beim Produktionsweg für Methanol | |
Disaggregierte Standardwerte nur für den Transport und Vertrieb des fertigen Brennstoffs. Diese sind bereits in der Tabelle als Emissionen bei Transport und Vertrieb „etd“ gemäß Definition in Teil C dieses Anhangs enthalten; die folgenden Werte können jedoch hilfreich sein, wenn ein Wirtschaftsteilnehmer die tatsächlichen Transportemissionen nur für den Rohstofftransport angeben will.
| Produktionsweg der Biokraftstoffe und flüssigen Biobrennstoffe | Treibhausgasemissionen — typischer Wert (gCO2eq/MJ) | Treibhausgasemissionen — Standardwert (gCO2eq/MJ) | 
| Ethanol aus Weizenstroh | 1,6 | 1,6 | 
| Fischer-Tropsch-Diesel aus Abfallholz in Einzelanlage | 1,2 | 1,2 | 
| Fischer-Tropsch-Diesel aus Kulturholz in Einzelanlage | 1,2 | 1,2 | 
| Fischer-Tropsch-Ottokraftstoff aus Abfallholz in Einzelanlage | 1,2 | 1,2 | 
| Fischer-Tropsch-Ottokraftstoff aus Kulturholz in Einzelanlage | 1,2 | 1,2 | 
| Dimethylether (DME) aus Abfallholz in Einzelanlage | 2,0 | 2,0 | 
| Dimethylether (DME) aus Kulturholz in Einzelanlage | 2,0 | 2,0 | 
| Methanol aus Abfallholz in Einzelanlage | 2,0 | 2,0 | 
| Methanol aus Kulturholz in Einzelanlage | 2,0 | 2,0 | 
| Fischer-Tropsch-Diesel aus der Vergasung von Schwarzlauge, integriert in Zellstofffabrik | 2,0 | 2,0 | 
| Fischer-Tropsch-Ottokraftstoff aus der Vergasung von Schwarzlauge, integriert in Zellstofffabrik | 2,0 | 2,0 | 
| Dimethylether (DME) aus der Vergasung von Schwarzlauge, integriert in Zellstofffabrik | 2,0 | 2,0 | 
| Methanol aus der Vergasung von Schwarzlauge, integriert in Zellstofffabrik | 2,0 | 2,0 | 
| MTBE, Anteil aus erneuerbaren Quellen | Wie beim Produktionsweg für Methanol | |
Insgesamt für Anbau, Verarbeitung, Transport und Vertrieb
| Produktionsweg der Biokraftstoffe und flüssigen Biobrennstoffe | Treibhausgasemissionen — typischer Wert (gCO2eq/MJ) | Treibhausgasemissionen — Standardwert (gCO2eq/MJ) | 
| Ethanol aus Weizenstroh | 13,7 | 15,7 | 
| Fischer-Tropsch-Diesel aus Abfallholz in Einzelanlage | 15,6 | 15,6 | 
| Fischer-Tropsch-Diesel aus Kulturholz in Einzelanlage | 16,7 | 16,7 | 
| Fischer-Tropsch-Ottokraftstoff aus Abfallholz in Einzelanlage | 15,6 | 15,6 | 
| Fischer-Tropsch-Ottokraftstoff aus Kulturholz in Einzelanlage | 16,7 | 16,7 | 
| Dimethylether (DME) aus Abfallholz in Einzelanlage | 15,2 | 15,2 | 
| Dimethylether (DME) aus Kulturholz in Einzelanlage | 16,2 | 16,2 | 
| Methanol aus Abfallholz in Einzelanlage | 15,2 | 15,2 | 
| Methanol aus Kulturholz in Einzelanlage | 16,2 | 16,2 | 
| Fischer-Tropsch-Diesel aus der Vergasung von Schwarzlauge, integriert in Zellstofffabrik | 10,2 | 10,2 | 
| Fischer-Tropsch-Ottokraftstoff aus der Vergasung von Schwarzlauge, integriert in Zellstofffabrik | 10,4 | 10,4 | 
| Dimethylether (DME) aus der Vergasung von Schwarzlauge, integriert in Zellstofffabrik | 10,2 | 10,2 | 
| Methanol aus der Vergasung von Schwarzlauge, integriert in Zellstofffabrik | 10,4 | 10,4 | 
| MTBE, Anteil aus erneuerbaren Quellen | Wie beim Produktionsweg für Methanol“ | |
71. Dem Anhang XI wird nach Z 1.) folgende Z 1a.) eingefügt:
- „1a.) Wald mit großer biologischer Vielfalt oder andere bewaldete Flächen, die artenreich und nicht degradiert sind oder für die die zuständige Behörde eine große biologische Vielfalt festgestellt hat, es sei denn, es wird nachgewiesen, dass die Gewinnung des Rohstoffs den genannten Naturschutzzwecken nicht zuwiderlief;“
72. Z 3.) des Anhangs XI lautet wie folgt:
- „3.)  Grünland von mehr als einem Hektar mit großer biologischer Vielfalt- a) natürliches Grünland, das ohne Eingriffe von Menschenhand Grünland bleiben würde und dessen natürliche Artenzusammensetzung sowie ökologische Merkmale und Prozesse intakt sind, oder
- b) künstlich geschaffenes Grünland, das heißt Grünland, das ohne Eingriffe von Menschenhand kein Grünland bleiben würde und das artenreich und nicht degradiert ist und für das die zuständige Behörde eine große biologische Vielfalt festgestellt hat, sofern nicht nachgewiesen wird, dass die Ernte des Rohstoffs zur Erhaltung des Status als Grünland mit großer Artenvielfalt erforderlich ist. 21.12.2018 L 328/130 Amtsblatt der Europäischen Union DE“
 
73. In Teil A. des Anhangs XIII wird die Wortfolge „Fortschrittliche Biokraftstoffe gemäß Anhang IX Teil A der Richtlinie (EU) 2015/1513 “ durch die Wortfolge „Rohstoffe zur Produktion von fortschrittlichen Biokraftstoffen und Biomethan“ ersetzt.
74. Lit. f) des Teil A. des Anhangs XIII lautet wie folgt:
- „f) Mist/Gülle und Klärschlamm;“
75. Die litt. r)-t) des Teil A. des Anhangs XIII entfallen.
76. In Teil B. des Anhangs XIII wird die Wortfolge „Rohstoffe für Biokraftstoffe gemäß Anhang IX Teil B der Richtlinie (EU) 2015/1513 “ durch die Wortfolge „Rohstoffe zur Produktion von Biokraftstoffen und Biomethan“ ersetzt.
77. Im gesamten Novellentext wird die Wortfolge „ÖNORM EN 589 „Kraftstoffe für Kraftfahrzeuge – Flüssiggas – Anforderungen und Prüfverfahren“ vom 1. April 2019“ durch die Wortfolge „ÖNORM EN 589 „Kraftstoffe für Kraftfahrzeuge – Flüssiggas – Anforderungen und Prüfverfahren“ vom 1. Mai 2022“ ersetzt.
78. Im gesamten Novellentext wird die Wortfolge „ÖNORM EN 16734 „Kraftstoffe für Kraftfahrzeuge – B10 Dieselkraftstoff – Anforderungen und Prüfverfahren“ vom 15. Mai 2019“ durch die Wortfolge „ÖNORM 16734 „Kraftstoffe für Kraftfahrzeuge – B10 Dieselkraftstoff – Anforderungen und Prüfverfahren“ vom 1. Juni 2022“ ersetzt.
79. Im gesamten Novellentext wird die Wortfolge „ÖNORM ISO 14064, „Treibhausgase“, ausgegeben am 1. April 2012“ durch die Wortfolge „ÖNORM EN ISO 14064-2 „Treibhausgase – Teil 2: Spezifikation mit Anleitung zur quantitativen Bestimmung, Überwachung und Berichterstattung von Reduktionen der Treibhausgasemissionen oder Steigerungen des Entzugs von Treibhausgasen auf Projektebene“, ausgegeben am 15. November 2019“ ersetzt.
80. Im gesamten Novellentext wird die Wortfolge „ÖNORM ISO 14064-3 „Treibhausgase – Teil 3: Spezifikation mit Anleitung zur Validierung und Verifizierung von Erklärungen über Treibhausgase“, ausgegeben am 1. April 2012“ durch die Wortfolge „ÖNORM ISO 14064-3 „Treibhausgase – Teil 3: Spezifikation mit Anleitung zur Validierung und Verifizierung von Erklärungen über Treibhausgase“ vom 15. November 2019“ ersetzt.
81. Im gesamten Novellentext wird die Wortfolge „ÖNORM EN ISO 4249 „Mineralölerzeugnisse – Bestimmung und Anwendung der Werte für die Präzision von Prüfverfahren“ vom 1. April 2007“ durch die Wortfolge „ÖNORM EN ISO 4259-1 „Mineralölerzeugnisse – Präzision von Messverfahren und Ergebnissen – Teil 1: Bestimmung der Präzisionsdaten von Prüfverfahren“ ausgegeben am 15. Mai 2021 und ÖNORM EN ISO 4259-2 „Mineralölerzeugnisse – Präzision von Messverfahren und Ergebnissen – Teil 2: Anwendung der Präzisionsdaten von Prüfverfahren“, ausgegeben am 1. April 2020“ ersetzt.
82. Im gesamten Novellentext wird die Wortfolge „ISO 14687-2,Hydrogen fuel – Product specification – Part 2: Proton exchange membrane (PEM) fuel cell applications for road vehicles (Wasserstoff als Kraftstoff – Produktfestlegung – Teil 2: Protonenaustauschmembran (PEM) Brennstoffzellenanwendungen für Straßenfahrzeuge), ausgegeben am 1. Dezember 2012“ durch die Wortfolge „ISO 14687-2,Hydrogen fuel – Product specification – Part 2: Proton exchange membrane (PEM) fuel cell applications for road vehicles (Wasserstoff als Kraftstoff – Produktfestlegung – Teil 2: Protonenaustauschmembran (PEM) Brennstoffzellenanwendungen für Straßenfahrzeuge), ausgegeben im November 2019“ ersetzt
83: Im gesamten Novellentext wird die Wortfolge „ÖNORM EN 590 „Kraftstoffe für Kraftfahrzeuge – Dieselkraftstoff – Anforderungen und Prüfverfahren“ vom 1. August 2019“ durch die Wortfolge „ÖNORM EN 590 „Kraftstoffe für Kraftfahrzeuge – Dieselkraftstoff – Anforderungen und Prüfverfahren“ ausgegeben am 1. Juni 2022“ ersetzt.
Gewessler
Lizenziert vom RIS (ris.bka.gv.at - CC BY 4.0 DEED)
