Kurztitel
Textilkennzeichnungsverordnung 1993
Kundmachungsorgan
BGBl. Nr. 890/1993 zuletzt geändert durch BGBl. Nr. 494/1995
§/Artikel/Anlage
Anl. 7
Inkrafttretensdatum
01.08.1995
Außerkrafttretensdatum
09.11.2014
Zusatzdokumente: image001, image002, image003, image004, image005, image006, image007, image008, image009, image010, image011, image012, image013, image014, image015, image016, image017, image018
Anlage 7
(§ 5)
QUANTITATIVE ANALYSE VON TERNÄREN TEXTILFASERGEMISCHEN
ALLGEMEINER TEIL
Einleitung
Die Methoden der quantitativen Analyse von Textilfasergemischen stützen sich auf zwei Verfahren, nämlich auf das Verfahren der manuellen Trennung und das der chemischen Trennung der Fasern.
Dem manuellen Verfahren sollte nach Möglichkeit der Vorzug gegeben werden, da es im allgemeinen zu genaueren Ergebnissen führt als das chemische Verfahren. Das manuelle Verfahren läßt sich auf alle Textilerzeugnisse, bei denen die das betreffende Erzeugnis bildenden Fasern keine untrennbare Mischung darstellen, anwenden, z.B. auf die aus mehreren Bestandteilen zusammengesetzten Garne, bei denen die einzelnen Bestandteile aus einer einzelnen Faserart gebildet werden, sowie auf Gewebe, bei denen die Kette aus einer anderen Faser als der Schuß besteht, oder auf Wirkwaren, die aus verschiedenartigen Garnen zusammengesetzt sind.
In der Regel stützt sich das Verfahren der quantitativen chemischen Analyse von Textillasergemischen auf die selektive Lösbarkeit der Einzelbestandteile der Mischung. Für dieses Verfahren ergeben sich vier mögliche Varianten:
- 1. Es wird mit zwei verschiedenen Analysenproben gearbeitet, wobei aus der ersten Probe ein Bestandteil (a), aus der zweiten Probe ein weiterer Bestandteil (b) herausgelöst werden. Die unlöslichen Rückstände jeder Probe werden gewogen, und aus dem Massenverlust wird der Prozentsatz von jedem der beiden löslichen Bestandteile errechnet. Der Prozentsatz des dritten Bestandteils (c) wird durch Differenzbildung ermittelt.
- 2. Es wird mit zwei verschiedenen Analysenproben gearbeitet, wobei aus der ersten Probe ein Bestandteil (a), aus der zweiten Probe zwei Bestandteile (a und b) herausgelöst werden. Der unlösliche Rückstand der ersten Analysenprobe wird gewogen, und aus dem Massenverlust wird der Prozentsatz des Bestandteils (a) errechnet. Der unlösliche Rückstand der zweiten Analysenprobe wird gewogen; er entspricht dem Bestandteil (c). Der Prozentsatz des dritten Bestandteils (b) wird durch Differenzbildung ermittelt.
- 3. Es wird mit zwei verschiedenen Analysenproben gearbeitet, wobei aus der ersten Probe zwei Bestandteile (a und b), aus der zweiten Probe zwei Bestandteile (b und c) herausgelöst werden. Die unlöslichen Rückstände entsprechen jeweils den Bestandteilen (c) und (a). Der Prozentsatz des dritten Bestandteils (b) wird durch Differenzbildung ermittelt.
- 4. Es wird mit nur einer Analysenprobe gearbeitet. Nach Entfernung eines der Bestandteile wird der von den beiden anderen Fasern gebildete unlösliche Rückstand gewogen und aus dem Massenverlust der Prozentsatz des löslichen Bestandteils errechnet. Aus dem Rückstand wird eine der beiden Fasern herausgelöst. Der unlösliche Bestandteil wird gewogen und der Prozentsatz des zweiten löslichen Bestandteils aus dem Massenverlust errechnet.
Wenn eine Wahl getroffen werden kann, ist es empfehlenswert, eine der drei ersten Varianten anzuwenden.
Der mit der Analyse beschäftigte Sachverständige muß jedoch darauf achten, daß bei der chemischen Analyse Methoden gewählt werden, die Lösungsmittel vorschreiben, die nur eine bestimmte Faser bzw. bestimmte Fasern auflösen, die andere bzw. anderen dagegen nicht auflösen.
Als Beispiele sind in Anlage 9 (Anm.: Anlage nicht darstellbar) in einer Tabelle eine Anzahl ternärer Gemische aufgeführt sowie Analysenmethoden für binäre Gemische, die grundsätzlich auch für die Analyse dieser ternären Gemische verwendet werden können.
Um die Fehlermöglichkeiten auf ein Mindestmaß zu verringern, wird empfohlen, die chemische Analyse in allen Fällen, in denen dies möglich ist, nach mindestens zwei der vier vorgenannten Varianten durchzuführen.
Die während der Herstellung der Textilerzeugnisse benutzten Fasergemische und in geringerem Maße auch die Fasergemische in den Fertigtextilien können bisweilen als natürliche Beimengungen oder zur Erleichterung des Verarbeitungsvorgangs Fette, Wachse oder Hilfsstoffe bzw. wasserlösliche Stoffe enthalten. Diese nicht zur Faser gehörenden Stoffe müssen vor der Analyse ausgesondert werden. Aus diesem Grund wird außerdem eine Vorbehandlungsmethode zur Entfernung von Ölen, Fetten, Wachsen und wasserlöslichen Stoffen angegeben.
Textilien können ferner Harze oder andere Stoffe enthalten, die ihnen bestimmte Eigenschaften verleihen sollen. Diese Stoffe, zu denen in Ausnahmefällen auch Farbstoffe gehören, können die Einwirkung des Reagenz auf die löslichen Bestandteile beeinträchtigen und außerdem durch das Reagenz teilweise oder vollständig beseitigt werden. Diese Zusatzstoffe können daher Fehler hervorrufen und müssen vor der Analyse der Probe entfernt werden. Sollte dies unmöglich sein, so sind die in Anlage 9 (Anm.: Anlage nicht darstellbar) beschriebenen Methoden der quantitativen chemischen Analyse nicht mehr anwendbar.
Farbstoffe in gefärbten Fasern werden als integrierender Bestandteil der Faser angesehen und nicht entfernt.
Bei diesen Analysen wird von der Trockenmasse ausgegangen, weshalb ein Verfahren zur Bestimmung der Trockenmasse angegeben wird.
Bei der Ergebnisdarstellung werden zur Trockenmasse der einzelnen Fasern die in Anlage 3 angegebenen Feuchtigkeitszuschläge zugerechnet.
Die in der Mischung enthaltenen Fasern sind vor der Analyse zu identifizieren. Bei bestimmten chemischen Methoden kann der unlösliche Bestandteil von Gemischen teilweise in dem Reagenz aufgelöst werden, das zur Auflösung des löslichen Bestandteils bzw. der löslichen Bestandteile verwendet wird. Nach Möglichkeit wurden die Reagenzien so gewählt, daß sie nur einen geringen oder überhaupt keinen Einfluß auf die unlöslichen Fasern haben. Ist bei der Analyse mit einem Massenverlust zu rechnen, so müssen die Ergebnisse entsprechend korrigiert werden. Korrekturfaktoren hierfür sind angegeben. Diese wurden in mehreren Laboratorien dadurch bestimmt, daß durch Vorbehandlung gereinigte Fasern mit dem entsprechenden Reagenz unter Befolgung der Analysenmethode behandelt wurden. Sie gelten nur für normale Fasern. Weitere Korrekturfaktoren können erforderlich sein, wenn die Fasern vor oder während der Verarbeitung nicht intakt geblieben sind. Wenn die vierte Variante angewandt werden muß, bei der eine Textilfaser der aufeinanderfolgenden Einwirkung von zwei Lösungsmitteln ausgesetzt ist, so ist es notwendig, die etwaigen Massenverluste auf Grund dieser doppelten Behandlung durch Korrekturfaktoren zu berücksichtigen.
Sowohl beim manuellen Trennungsverfahren als auch beim chemischen Trennungsverfahren müssen mindestens Doppelbestimmungen durchgeführt werden.
I. | ALLGEMEINES ÜBER DIE METHODEN DER QUANTITATIVEN CHEMISCHEN ANALYSE VON TERNÄREN TEXTILFASERGEMISCHEN | |||
Allgemeine Angaben zu den Verfahren der quantitativen chemischen Analyse von ternären Textilfasergemischen. | ||||
I.1. | Anwendungsbereich | |||
Unter dem Anwendungsbereich wird bei jeder Analysenmethode für binäre Mischungen aufgeführt, für welche Fasern sie anzuwenden ist. (Siehe Anlage 6) | ||||
I.2. | Prinzip | |||
Nach Identifizierung der einzelnen Bestandteile der Fasergemische werden zunächst durch eine entsprechende Vorbehandlung die nichtfaserigen Bestandteile entfernt, sodann werden eine oder mehrere der in der Einleitung beschriebenen vier Varianten des Verfahrens der selektiven Auflösung angewendet. Vorzugsweise sind, wenn keine technischen Schwierigkeiten auftreten, die in größerer Menge vorhandenen Fasern aufzulösen, damit man die in geringster Menge vorhandene Faser als Endrückstand erhält. | ||||
I.3. | Geräte und Reagenzien | |||
I.3.1 | Geräte | |||
I.3.1.1. | Filtertiegel und Wägegläser zum Einsetzen von Tiegeln oder andere gleichwertige Geräte | |||
I.3.1.2. | Absaugflasche | |||
I.3.1.3. | Exsikkator mit gefärbtem Kieselgel als Feuchtigkeitsindikator | |||
I.3.1.4. | Trockenofen mit Ventilator zur Trocknung der Analysenproben bei (105 ± 3) Grad °C | |||
I.3.1.5. | Analysenwaage, Empfindlichkeit 0,0002 g | |||
I.3.1.6. | Extraktionsapparat Soxhlet oder gleichwertige Apparatur | |||
I.3.2. | Reagenzien | |||
I.3.2.1. | Petroläther, nachdestilliert, Siedebereich 40 °C bis 60 °C | |||
I.3.2.2. | Sonstige Reagenzien sind in den entsprechenden Teilen der Methode angegeben. Alle Reagenzien müssen chemisch rein sein. | |||
I.3.2.3. | Destilliertes oder entionisiertes Wasser. | |||
I.4. | Konditionierungs- und Analysenatmosphäre | |||
Da die Trockenmasse bestimmt wird, ist weder eine Konditionierung der Probe noch eine Untersuchung in klimatisierter Atmosphäre erforderlich. | ||||
I.5. | Vorprobe | |||
Es wird eine für die Laboratoriumsprobe repräsentative Vorprobe gewählt, die für sämtliche erforderlichen Analysenproben von jeweils mindestens 1 g ausreicht. | ||||
I.6. | Vorbehandlung der Vorprobe | |||
Ist einer der bei der Berechnung der Prozentsätze nicht zu berücksichtigenden Bestandteile vorhanden (siehe § 1 Abs. 7 Z 5), so ist dieser zunächst durch eine geeignete Methode zu entfernen, die jedoch keinen der Faserbestandteile angreifen darf. Zu diesem Zweck werden die mit Hilfe von Petroläther und Wasser extrahierbaren nichtfaserigen Bestandteile entfernt, indem die luftgetrocknete Probe im Soxhlet-Apparat mit Petroläther während einer Stunde und mit mindestens sechs Umläufen pro Stunde behandelt wird. Anschließend wird der Petroläther der Probe verdampft; danach wird die Probe durch Direktbehandlung extrahiert, das heißt durch einstündiges Eintauchen in Wasser bei Zimmertemperatur mit darauffolgendem einstündigem Eintauchen in Wasser bei (65 ± 5) °C unter zeitweiligem Schütteln, Flottenverhältnis 1 : 100. Danach wird das überschüssige Wasser durch Ausquetschen, Absaugen oder Zentrifugieren entfernt, bis die Probe lufttrocken ist. Falls die nichtfaserigen Bestandteile nicht mit Hilfe von Petroläther und Wasser extrahiert werden können, so müssen sie anstatt mit Wasser, wie oben beschrieben, mit einem geeigneten Stoff entfernt werden, der keinen der Faserbestandteile wesentlich verändert. Bei einigen natürlichen Pflanzen-Rohfasern (wie zum Beispiel Jute-, Kokosfasern) ist zu beachten, daß durch die normale Vorbehandlung mit Petroläther und Wasser nicht alle natürlichen nichtfaserigen Bestandteile beseitigt werden. Trotzdem werden keine weiteren Vorbehandlungen vorgenommen, soweit die Probe keine in Petroläther und in Wasser unlöslichen Appreturen enthält. In den Analysenberichten müssen die gewählten Vorbehandlungsmethoden eingehend geschildert werden. | ||||
I.7. | Analysengang | |||
I.7.1. | Allgemeine Anweisungen | |||
I.7.1.1. | Trocknung | |||
Alle Trockenoperationen sind mindestens 4 Stunden, jedoch nicht mehr als 16 Stunden bei (105 ± 3) °C in einem belüfteten Ofen bei geschlossener Ofentür durchzuführen. Beträgt die Trocknungsdauer weniger als 14 Stunden, muß überprüft werden, ob eine konstante Masse erreicht wurde. Diese kann als erreicht gelten, wenn der Massenunterschied nach einer neuen Trocknung von 60 Minuten weniger als 0,05% beträgt. Die Filtertiegel und Wägegläser sowie die Proben oder die Rückstände sollen während des Trocknungs-, Abkühlungs- und Wägevorgangs nicht mit bloßen Händen berührt werden. Die Analysenproben werden in einem Wägeglas mit abgenommenem Stopfen getrocknet. Nach der Trocknung wird das Wägeglas vor Herausnahme aus dem Ofen geschlossen und so schnell wie möglich in den Exsikkator gebracht. Der Filtertiegel, der mit seinem Deckel in einem Wägeglas untergebracht ist, wird im Ofen getrocknet. Nach der Trocknung wird das Wägeglas verschlossen und so schnell wie möglich in den Exsikkator gestellt. Wird ein anderes Gerät als der Filtertiegel verwendet, so trocknet man im Trockenofen, um die Trockenmasse der Fasern ohne Verlust zu bestimmen. | ||||
I.7.1.2. | Kühlung | |||
Alle Kühlvorgänge werden in dem neben der Waage aufgestellten Exsikkator ausreichend lange durchgeführt, um ein völliges Abkühlen der Wägegläser zu erreichen, wobei die Abkühlungsdauer mindestens 2 Stunden beträgt. | ||||
I.7.1.3. | Wägung | |||
Nach dem Abkühlen wird das Wägeglas innerhalb von zwei Minuten nach Herausnahme aus dem Exsikkator gewogen. Wägegenauigkeit 0,0002 g. | ||||
I.7.2. | Verfahren | |||
Man entnimmt aus der vorbehandelten Vorprobe eine Analysenprobe von mindestens 1 g Masse. Das Garn und die Gewebe werden in Längen von etwa 10 mm ausgeschnitten und soweit wie möglich zerlegt (zerschnitten). Die Analysenprobe wird in einem Wägeglas getrocknet, im Exsikkator gekühlt und gewogen. Die Probe wird in ein Glasgefäß gegeben, das im entsprechenden Teil der Gemeinschaftsmethode beschrieben ist, anschließend wird das Wägeglas sofort wieder gewogen und die Trockenmasse der Probe durch Differenzbildung ermittelt. Die Analyse wird gemäß den Angaben in dem entsprechenden Teil der Methode zu Ende geführt. Der Rückstand wird mikroskopisch geprüft, um festzustellen. ob durch die Behandlung die lösliche Faser völlig ausgesondert worden ist. | ||||
I.8. | Berechnung und Ergebnisdarstellung | |||
Die Masse jedes Bestandteils wird als Prozentsatz der Gesamtmasse der im Gemisch enthaltenen Fasern ausgedrückt. Die Ergebnisberechnung erfolgt auf der Basis der Trockenmasse der reinen Fasern unter Anwendung der vereinbarten Feuchtigkeitszuschläge sowie von Korrekturfaktoren zur Berücksichtigung der Materialverluste durch die Vorbehandlung. | ||||
I.8.1 | Berechnung des prozentualen Massenanteils der reinen trockenen Fasern ohne Berücksichtigung des Massenverlusts der Fasern durch die Vorbehandlung. | |||
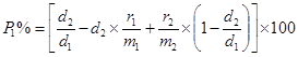
I.8.1.1. | - VARIANTE 1 - | |||
Formeln, die dann anzuwenden sind, wenn eine Komponente des Gemischs aus einer Probe und eine andere Komponente aus einer zweiten Probe herausgelöst wird: | ||||
P3% = 100 - (P1% + P2%) | ||||
P1% | ist der Prozentsatz des trockenen und reinen ersten Faserbestandteils (in der ersten Probe mit dem ersten Reagenz aufgelöste Komponente), | |||
P2% | ist der Prozentsatz des trockenen und reinen zweiten Faserbestandteils (in der zweiten Probe mit dem zweiten Reagenz aufgelöste Komponente), | |||
P3% | ist der Prozentsatz des trockenen und reinen dritten Faserbestandteils (in den beiden Proben nicht aufgelöste Komponente), | |||
m1 | ist die Trockenmasse der ersten Probe nach der Vorbehandlung, | |||
m2 | ist die Trockenmasse der zweiten Probe nach der Vorbehandlung, | |||
r1 | ist die Trockenmasse des Rückstands nach Beseitigung der ersten Komponente aus der ersten Probe mit dem ersten Reagenz, | |||
r2 | ist die Trockenmasse des Rückstands nach Beseitigung der zweiten Komponente aus der zweiten Probe mit dem zweiten Reagenz, | |||
d1 | ist der Korrekturfaktor zur Berücksichtigung des durch das erste Reagenz bewirkten Massenverlustes der in der ersten Probe nicht aufgelösten zweiten Komponente 1), | |||
d2 | ist der Korrekturfaktor zur Berücksichtigung des durch das erste Reagenz bewirkten Massenverlustes der in der ersten Probe nicht aufgelösten dritten Komponente 1), | |||
d3 | ist der Korrekturfaktor zur Berücksichtigung des durch das zweite Reagenz bewirkten Massenverlustes der in der zweiten Probe nicht aufgelösten ersten Komponente 1), | |||
d4 | ist der Korrekturfaktor zur Berücksichtigung des durch das zweite Reagenz bewirkten Massenverlustes der in der zweiten Probe nicht aufgelösten dritten Komponente 1). | |||
I.8.1.2. | - VARIANTE 2 - | |||
Formeln, die anzuwenden sind, wenn eine Komponente (a) der ersten Probe mit den beiden anderen Komponenten (b + c) als Rückstand und anschließend zwei Komponenten (a + b) mit der dritten Komponente als Rückstand (c) herausgelöst werden. | ||||
P1% = 100 - (P2% + P3%) | ||||
P 1% | ist der Prozentsatz des trockenen und reinen ersten Faserbestandteils (in der ersten Probe mit dem ersten Reagenz lösliche Komponente), | |||
P2% | ist der Prozentsatz des trockenen und reinen zweiten Faserbestandteils (in der zweiten Probe mit dem zweiten Reagenz zusammen mit der ersten Komponente lösliche Komponente), | |||
P3% | ist der Prozentsatz des trockenen und reinen dritten Faserbestandteils (in den beiden Proben unlösliche Komponente), | |||
m1 | ist die Trockenmasse der ersten Probe nach der Vorbehandlung, | |||
m2 | ist die Trockenmasse der zweiten Probe nach der Vorbehandlung, | |||
r1 | ist die Trockenmasse des Rückstands nach Beseitigung der ersten Komponente aus der ersten Probe mit dem ersten Reagenz, | |||
r2 | ist die Trockenmasse des Rückstands nach Beseitigung der ersten und zweiten Komponente aus der zweiten Probe mit dem zweiten Reagenz, | |||
d1 | ist der Korrekturfaktor zur Berücksichtigung des durch das erste Reagenz bewirkten Massenverlustes der in der ersten Probe nicht aufgelösten zweiten Komponente 1), | |||
d2 | ist der Korrekturfaktor zur Berücksichtigung des durch das erste Reagenz bewirkten Massenverlustes der in der ersten Probe nicht aufgelösten dritten Komponente 1), | |||
d4 | ist der Korrekturfaktor zur Berücksichtigung des durch das zweite Reagenz bewirkten Massenverlustes der in der zweiten Probe nicht aufgelösten dritten Komponente 1). | |||
I.8.1.3. | - VARIANTE 3 - | |||
Formeln, die dann anzuwenden sind, wenn zwei Komponenten (a + b) einer Probe mit der dritten Komponente als Rückstand und anschließend zwei Komponenten (b + c) mit der ersten Komponente (a) als Rückstand herausgelöst werden. | ||||
P1% | ist der Prozentsatz des trockenen und reinen ersten Faserbestandteils (in der ersten Probe mit dem ersten Reagenz aufgelöste Komponente), | |||
P2% | ist der Prozentsatz des trockenen und reinen zweiten Faserbestandteils (in der ersten Probe mit dem ersten Reagenz und in der zweiten Probe mit dem zweiten Reagenz aufgelöste Komponente), | |||
P3% | ist der Prozentsatz des trockenen und reinen dritten Faserbestandteils (in der zweiten Probe mit dem zweiten Reagenz aufgelöste Komponente), | |||
m1 | ist die Trockenmasse der ersten Probe nach der Vorbehandlung, | |||
m2 | ist die Trockenmasse der zweiten Probe nach der Vorbehandlung, | |||
r1 | ist die Trockenmasse des Rückstands nach Beseitigung der ersten und zweiten Komponente aus der ersten Probe mit dem ersten Reagenz, | |||
r2 | ist die Trockenmasse des Rückstands nach Beseitigung der zweiten und dritten Komponente aus der zweiten Probe mit dem zweiten Reagenz, | |||
d2 | ist der Korrekturfaktor zur Berücksichtigung des durch das erste Reagenz bewirkten Massenverlustes der in der ersten Probe nicht aufgelösten dritten Komponente 1), | |||
d3 | ist der Korrekturfaktor zur Berücksichtigung des durch das zweite Reagenz bewirkten Massenverlustes der in der zweiten Probe nicht aufgelösten ersten Komponente 1). | |||
I.8.1.4. | - VARIANTE 4 - | |||
Formeln, die anzuwenden sind, wenn nacheinander zwei Komponenten des Fasergemischs aus der gleichen Probe herausgelöst werden: | ||||
P1% = 100 - (P2% + P3%) | ||||
P1% | ist der Prozentsatz des trockenen und reinen ersten Faserbestandteils (erste lösliche Komponente) | |||
P2% | ist der Prozentsatz des trockenen und reinen zweiten Faserbestandteils (zweite lösliche Komponente), | |||
P3% | ist der Prozentsatz des trockenen und reinen dritten Faserbestandteils (unlösliche Komponente), | |||
m | ist die Trockenmasse der Probe nach der Vorbehandlung, | |||
r1 | ist die Trockenmasse des Rückstands nach Beseitigung der ersten Komponente mit dem ersten Reagenz, | |||
r2 | ist die Trockenmasse des Rückstands nach Beseitigung der ersten und zweiten Komponente mit dem ersten und zweiten Reagenz, | |||
d1 | ist der Korrekturfaktor zur Berücksichtigung des Massenverlustes der zweiten Komponente im ersten Reagenz 1), | |||
d2 | ist der Korrekturfaktor zur Berücksichtigung des Massenverlustes der dritten Komponente im ersten Reagenz 1), | |||
d3 | ist der Korrekturfaktor zur Berücksichtigung des Massenverlustes der dritten Komponente im ersten und zweiten Reagenz 2). | |||
I.8.2. | Berechnung des Prozentsatzes jeder einzelnen Komponente nach Anwendung der vereinbarten Feuchtigkeitszuschläge und etwaiger Korrekturfaktoren zur Berücksichtigung des Massenverlustes durch die Vorbehandlung: Ist: | |||
dann ist: | ||||
P1A% | ist der Prozentsatz des trockenen und reinen ersten Faserbestandteils einschließlich Feuchtigkeit und einschließlich Massenverlust durch die Vorbehandlung, | |||
P2A% | ist der Prozentsatz des trockenen und reinen zweiten Faserbestandteils einschließlich Feuchtigkeit und einschließlich Massenverlust durch die Vorbehandlung, | |||
P3A% | ist der Prozentsatz des trockenen und reinen dritten Faserbestandteils einschließlich Feuchtigkeit und einschließlich Massenverlust durch die Vorbehandlung, | |||
P1% | ist der Prozentsatz des trockenen und reinen ersten Faserbestandteils, wie er sich aus einer der Formeln unter I.8.1 ergibt, | |||
P2% | ist der Prozentsatz des trockenen und reinen zweiten Faserbestandteils, wie er sich aus einer der Formeln unter I.8.1 ergibt, | |||
P3% | ist der Prozentsatz des trockenen und reinen dritten Faserbestandteils, wie er sich aus einer der Formeln unter I.8.1 ergibt, | |||
a1 | ist der vereinbarte Feuchtigkeitszuschlag für die erste Komponente, | |||
a2 | ist der vereinbarte Feuchtigkeitszuschlag für die zweite Komponente, | |||
a3 | ist der vereinbarte Feuchtigkeitszuschlag für die dritte Komponente, | |||
b1 | ist der prozentuale Massenverlust der ersten Komponente durch die Vorbehandlung, | |||
b2 | ist der prozentuale Massenverlust der zweiten Komponente durch die Vorbehandlung, | |||
b3 | ist der prozentuale Massenverlust der dritten Komponente durch die Vorbehandlung. | |||
Bei Anwendung einer Spezialvorbehandlung müssen die Größen b tief 1, b tief 2 und b tief 3 nach Möglichkeit dadurch bestimmt werden, daß alle reinen Faserbestandteile der bei der Analyse angewandten Vorbehandlung unterworfen werden. Als reine Fasern gelten die Fasern, die frei von jeglichen nichtfaserhaltigen Stoffen sind, mit Ausnahme derjenigen Stoffe, die sie normalerweise (auf Grund ihrer Beschaffenheit oder des Herstellungsprozesses) in dem Zustand (roh, gebleicht) enthalten, in dem sie sich in der zu analysierenden Ware vorfinden. | ||||
Sind keine getrennten und reinen Faserbestandteile vorhanden, die zur Herstellung der zu analysierenden Ware gedient haben, so sind für b tief 1, b tief 2 und b tief 3 Durchschnittswerte anzunehmen, die sich aus Prüfungen von ähnlichen wie in der untersuchten Mischung enthaltenen reinen Fasern ergeben. | ||||
Wird die normale Vorbehandlung durch Herauslösen mit Petroläther und mit Wasser durchgeführt, so kann im allgemeinen auf die Größen b1, b2 und b3 verzichtet werden, außer bei Rohbaumwolle, Rohwolle und Rohhanf, bei denen vereinbarungsgemäß der Verlust durch die Vorbehandlung mit 4%, im Fall von Polypropylen mit 1% zugestanden wird. | ||||
Im Fall anderer Fasern bleibt der Verlust vereinbarungsgemäß für die Berechnung unberücksichtigt. | ||||
I.8.3. | Anmerkung: | |||
Berechnungsbeispiele finden sich in Anlage 8. | ||||
II. | VERFAHREN DER QUANTITATIVEN ANALYSE VON TERNÄREN TEXTILFASERGEMISCHEN DURCH MANUELLE TRENNUNG | |||
II.1. | Anwendungsbereich | |||
Die Methode läßt sich auf Fasermischungen beliebiger Beschaffenheit anwenden, vorausgesetzt, daß sie keine untrennbare Mischung darstellen und daß sie sich manuell trennen lassen. | ||||
II.2. | Prinzip | |||
Nach Identifizierung der einzelnen Bestandteile der Fasergemische werden zunächst die nichtfaserhaltigen Bestandteile durch eine geeignete Vorbehandlung ausgesondert, anschließend die Fasern von Hand getrennt, getrocknet und zwecks Berechnung des Anteils der einzelnen Faserarten am Gemisch gewogen. | ||||
II.3. | Erforderliche Geräte | |||
II.3.1. | Wägeglas bzw. andere Geräte, die gleichartige Ergebnisse liefern | |||
II.3.2. | Exsikkator mit gefärbtem Kieselgel als Feuchtigkeitsindikator | |||
II.3.3. | Trockenofen mit Ventilator zur Trocknung der Analysenproben bei (105 ± 3) °C | |||
II.3.4. | Analysenwaage, Empfindlichkeit 0,0002 g | |||
II.3.5. | Extraktionsapparat Soxhlet oder gleichwertige Apparatur | |||
II.3.6. | Nadel | |||
II.3.7. | Garndrehungszähler oder gleichwertige Apparatur | |||
II.4. | Reagenzien | |||
II.4.1. | Petroläther, nachdestilliert, Siedebereich 40 °C - 60 °C | |||
II.4.2. | Destilliertes oder entionisiertes Wasser | |||
II.5. | Konditionierungs- und Analysenatmosphäre | |||
Vgl. Punkt I.4. | ||||
II.6. | Vorprobe | |||
Vgl. Punkt I.5. | ||||
II.7. | Vorbehandlung der Vorprobe | |||
Vgl. Punkt I.6. | ||||
II.8. | Analysengang | |||
II.8.1. | Analyse von Garnen | |||
Eine Analysenprobe von mindestens 1 g wird aus einer vorbehandelten Probe entnommen. Bei sehr feinen Garnen kann die Analyse ungeachtet der Masse auf einer Mindestlänge von 30 m durchgeführt werden. | ||||
Die Garne sind in Stücke von geeigneter Länge zu schneiden; aus diesen sind mit Hilfe einer Präpariernadel und, falls erforderlich, mit Hilfe des Garndrehungszählers die Elemente von angemessener Länge herauszutrennen. Die auf diese Weise herausgetrennten Elemente werden dann in ein tariertes Wägeglas gegeben und bei (105 ± 3) °C getrocknet, bis eine konstante Masse gemäß I.7.1 und I.7.2 erreicht ist. | ||||
II.8.2. | Analyse eines Gewebes | |||
Eine Analysenprobe von mindestens 1 g wird aus einer vorbehandelten Probe entnommen, die Analysenprobe wird so ausgeschnitten, daß sie außerhalb der Webkante liegt, exakt geschnittene Ränder ohne Kräuselung aufweist und parallel zu Schuß und Kette bzw. bei Gewirken gleichlaufend längs und quer zu den Maschenreihen geschnitten ist. Die einzelnen Garne werden getrennt und in tarierten Wägegläsern gesammelt, dann wird wie unter Punkt II.8.1 vorgegangen. | ||||
II.9 | Berechnung und Ergebnisdarstellung | |||
Die Masse jedes Bestandteils wird als Prozentsatz der Gesamtmasse der im Gemisch enthaltenen Fasern ausgedrückt. Die Berechnung erfolgt auf der Basis der Trockenmasse der reinen Fasern unter Anwendung von Feuchtigkeitszuschlägen sowie von Korrekturfaktoren zur Berücksichtigung der Massenverluste durch die Vorbehandlung. | ||||
II.9.1. | Berechnung des Prozentsatzes der reinen Trockenmasse ohne Berücksichtigung des Massenverlustes der Fasern durch die Vorbehandlung: | |||
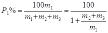
P3% = 100 - (P1% + P2%) | ||||
P1% | ist der Prozentsatz des trockenen und reinen ersten Faserbestandteils, | |||
P2% | ist der Prozentsatz des trockenen und reinen zweiten Faserbestandteils, | |||
P3% | ist der Prozentsatz des trockenen und reinen dritten Faserbestandteils, | |||
m1 | ist die Trockenmasse des reinen ersten Faserbestandteils, | |||
m2 | ist die Trockenmasse des reinen zweiten Faserbestandteils, | |||
m3 | ist die Trockenmasse des reinen dritten Faserbestandteils. | |||
II.9.2. | Berechnung des Prozentsatzes jeder einzelnen Komponente nach Anwendung der vereinbarten Feuchtigkeitszuschläge und etwaiger Korrekturfaktoren zur Berücksichtigung des Massenverlustes durch die Vorbehandlung (siehe Punkt I.8.2). | |||
III. | QUANTITATIVE ANALYSENMETHODE MIT KOMBINIERTER MANUELLER UND CHEMISCHER TRENNUNG VON TERNÄREN TEXTILFASERGEMISCHEN | |||
Immer, wenn möglich, muß die manuelle Trennung vorgenommen werden. Hierbei ist der Prozentsatz der getrennten Teile zu berücksichtigen, bevor von den einzelnen Teilen eine Analyse auf chemischem Wege vorgenommen wird. | ||||
IV. | GENAUIGKEIT DER VERFAHREN | |||
Die für jedes Verfahren der Analyse binärer Gemische angegebene Genauigkeit bezieht sich auf die Reproduzierbarkeit (siehe Anlage 6). | ||||
Die Reproduzierbarkeit ist der Zuverlässigkeitsgrad, dh. die Übereinstimmung zwischen den Versuchsergebnissen, die in verschiedenen Laboratorien oder während verschiedener Zeiträume erzielt werden, wenn bei diesen Versuchen jeweils nach demselben Verfahren und an demselben homogenen Prüfgut Einzelergebnisse ermittelt werden. | ||||
Die Reproduzierbarkeit wird durch die Vertrauensgrenzen der Versuchsergebnisse bei einer statistischen Sicherheit von 95% ausgedrückt. | ||||
Dies besagt, daß die Abweichung zwischen zwei Ergebnissen einer in verschiedenen Laboratorien durchgeführten Analysenreihe bei richtiger und normaler Anwendung der Methode auf eine gleichartige homogene Mischung nur in fünf von hundert Fällen überschritten werden darf. Um die Genauigkeit der Ergebnisse der Analyse eines ternären Fasergemischs zu erhalten, sind in der Regel diejenigen Werte anzuwenden, die bei den für die Analyse des ternären Gemischs benutzten Methoden für binäre Fasergemische angegeben sind. | ||||
Da für die vier Varianten der quantitativen chemischen Analyse von ternären Fasergemischen jeweils die Auflösung von zwei Komponenten vorgesehen ist (aus zwei verschiedenen Proben bei den ersten drei Varianten und aus derselben Probe bei der vierten Variante), berechnet sich, wenn man die Genauigkeit der zwei benützten Methoden für binäre Gemische mit E1 und E2 bezeichnet, die Genauigkeit der Ergebnisse für jede Komponente nach folgender Tabelle: | ||||
Variante Faserkomponente | 1 | 2 und 3 | 4 | ||
a | E1 | E1 | E1 | ||
b | E2 | E1 + E2 | E1 + E2 | ||
c | E1 +E2 | E2 | E1 + E2 | ||
Bei Anwendung der vierten Variante kann sich auf Grund einer eventuellen, schwer bestimmbaren Wirkung des ersten Lösungsmittels auf den aus den Komponenten b und c bestehenden Probenrückstand eine geringere Genauigkeit ergeben als nach den obigen Formeln berechnet. | |||||
V. | ANALYSENBERICHT | ||||
V.1. | Angabe der zur Analyse verwendeten Varianten sowie der verwendeten Reagenzien, Methoden und der Korrekturfaktoren, | ||||
V.2. | Detaillierte Angaben über etwaige Spezialvorbehandlungen (siehe Punkt I.6), | ||||
V.3. | Angabe der Einzelergebnisse sowie des arithmetischen Mittels auf eine Dezimalstelle genau, | ||||
V.4. | Jedesmal, wenn es möglich ist, sollte die Genauigkeit der Methode für jede Komponente angegeben werden, berechnet nach der Tabelle in Abschnitt IV. | ||||
_________________
1) Die Werte für d sind in den entsprechenden Textteilen der Anlage 6 angegeben.
2) d3 ist zuvor nach Möglichkeit experimentell zu bestimmen.
Zusatzdokumente: image001, image002, image003, image004, image005, image006, image007, image008, image009, image010, image011, image012, image013, image014, image015, image016, image017, image018
Lizenziert vom RIS (ris.bka.gv.at - CC BY 4.0 DEED)
