zum Bezugszeitraum vgl. § 23 Abs. 4 und 5
Behördliche Festsetzung der Datenbasis
§ 7.
(1) Die FMA hat die Basis der Berechnung der Kosten festzusetzen, wenn die für die Kostenbemessung erforderlichen Datenmeldungen gemäß § 6
- 1. mangels Basisdaten nicht erstattet werden konnten oder mangels Meldepflicht gemäß den in § 6 Abs. 1 genannten Bestimmungen oder den entsprechenden Vorgängerbestimmungen nicht erstattet werden mussten oder
- 2. pflichtwidrig nicht, nicht rechtzeitig oder nicht vollständig übermittelt worden sind.
(2) Liegen die Voraussetzungen des Abs. 1 vor, hat die FMA
- 1. eine Berechnung des Kostenanteils auf Basis der letztvorliegenden Datenmeldung gemäß § 6 oder den entsprechenden Vorgängerbestimmungen zuzüglich eines Zuschlages vorzunehmen oder
- 2. hilfsweise den Kostenanteil in Höhe der Beträge gemäß Abs. 4 oder § 14 Abs. 3 Z 3 festzusetzen.
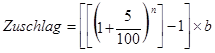
(3) Der Zuschlag gemäß Abs. 2 Z 1 berechnet sich wie folgt:
- wobei Folgendes gilt:
- 1. n ist die Anzahl der lückenlos aufeinander folgenden Jahre, für die die FMA die Basis der Berechnung der Kosten auf Basis der letztvorliegenden Datenmeldung festzusetzen hat;
- 2. b ist die für die letzte Vorperiode für den jeweiligen Kostenpflichtigen errechenbare Bemessungsgrundlage.
(4) Liegen für einen Kostenpflichtigen keine Datenmeldungen gemäß § 6 oder den entsprechenden Vorgängerbestimmungen aus Vorperioden vor, so hat die FMA den Kostenanteil
- 1. eines Kreditinstituts oder sonstigen Kostenpflichtigen gemäß § 3 Abs. 1 Z 1 mit dem Mindestbetrag gemäß § 69a Abs. 4 BWG,
- 2. eines Zahlungsinstitutes mit dem Mindestbetrag gemäß § 60 Abs. 4 ZaDiG,
- 3. eines E-Geld-Institutes mit dem Mindestbetrag gemäß § 60 Abs. 4 ZaDiG,
- 4. eines Kostenpflichtigen gemäß § 3 Abs. 1 Z 2 mit den betraglichen Mindestkosten gemäß § 12 Abs. 1,
- 5. einer Pensionskasse mit dem sich aus § 35 Abs. 1 Z 1 PKG ergebenden Betrag,
- 6. eines meldepflichtigen Instituts mit der Mindestpauschale gemäß § 14 Abs. 3 Z 1,
- 7. eines Emittenten mit der Mindestpauschale gemäß § 14 Abs. 3 Z 2,
- 8. einer zentralen Gegenpartei mit der Mindestpauschale gemäß § 14 Abs. 3 Z 4,
- 9. eines Clearingmitgliedes mit der Mindestpauschale gemäß § 14 Abs. 3 Z 5,
- 10. eines der in § 3 Abs. 1 Z 3 lit. f genannten Kostenpflichtigen mit der Mindestpauschale gemäß § 14 Abs. 3 Z 6 oder 7,
- 11. eines Zentralverwahrers mit der Mindestpauschale gemäß § 14 Abs. 3 Z 8
- 12. eines Administrators mit der Mindestpauschale gemäß § 14 Abs. 3 Z 9
- festzusetzen.
(5) Im Falle des Abs. 4 ist die FMA berechtigt, den Kostenanteil eines Kostenpflichtigen, dem eine Konzession zur Erbringung von Wertpapierdienstleistungen gemäß § 3 Abs. 2 WAG 2018 erteilt wurde, auf Grundlage der im Rahmen der Konzessionierung gemäß § 3 Abs. 8 WAG 2018 in Verbindung mit § 4 Abs. 3 Z 3 BWG vorzulegenden Budgetrechnung festzusetzen. § 17 bleibt hierbei unberührt.
(6) Liegen für ein Mitgliedinstitut einer Sicherungseinrichtung (§ 3 Abs. 1 Z 1 lit. c) keine Datenmeldungen vor, so wird dieses Mitgliedinstitut bei der gemäß § 56 Abs. 2 ESAEG vorgesehenen Bildung der Summe der nach § 69a Abs. 2 BWG festgestellten Kostenzahlen der dieser Sicherungseinrichtung zugehörigen Mitgliedsinstitute unter Anwendung der Bestimmungen über die behördliche Kostenfestsetzung gemäß Abs. 1 bis 3 berücksichtigt.
Zuletzt aktualisiert am
04.09.2018
Gesetzesnummer
20009396
Dokumentnummer
NOR40196675
Lizenziert vom RIS (ris.bka.gv.at - CC BY 4.0 DEED)
