Berechnung des IST-Wertes
§ 4.
(1) Die Berechnung des IST-Wertes (IST) hat ab dem 1. Jänner 2005 auf Monatsbasis zu erfolgen.
(2) Die Berechnung des IST-Wertes (IST) bis zum 31. Dezember 2004 kann alternativ auch auf Quartalsbasis erfolgen. Bei der Berechnung auf Quartalsbasis ergibt sich die Quartalsperformance (Qi) des Quartals i (i = 1, ..., 4) analog zur Monatsperformance aus dem Quotienten des Quartalsertrages (QEi) und des durchschnittlichen Quartalsvermögens (QVMi) des jeweiligen Quartals i. Die Berechnungsvorschriften des Absatzes 3 sind sinngemäß auf Quartalswerte anzuwenden.
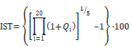
(3) Bei der Berechnung auf Monatsbasis wird der IST-Wert (IST) jeweils zum Bilanzstichtag aus der durchschnittlichen Monatsperformance der letzten sechzig Monate ermittelt:
Bei der Berechnung auf Quartalsbasis wird der IST-Wert (IST) jeweils zum Bilanzstichtag aus der durchschnittlichen Quartalsperformance der letzten zwanzig Quartale ermittelt:
Zuletzt aktualisiert am
28.06.2022
Gesetzesnummer
20003126
Dokumentnummer
NOR40048906
Lizenziert vom RIS (ris.bka.gv.at - CC BY 4.0 DEED)
