Behördliche Festsetzung der Datenbasis
§ 7.
(1) Die FMA hat die Basis der Berechnung der Kosten festzusetzen, wenn die für die Kostenbemessung erforderlichen Datenmeldungen gemäß § 6
- 1. mangels Basisdaten nicht erstattet werden konnten oder mangels Meldepflicht gemäß § 74 BWG nicht erstattet werden mussten oder
- 2. pflichtwidrig nicht, nicht rechtzeitig oder nicht vollständig übermittelt worden sind.
(2) Im Fall des Abs. 1 Z 1 hat die FMA den Kostenanteil eines Kostenpflichtigen in Höhe der Beträge gemäß Abs. 4 und § 11 Abs. 3 Z 3 festzusetzen.
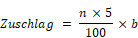
(3) Im Fall des Abs. 1 Z 2 hat die FMA eine Berechnung des Kostenanteils auf Basis der letztvorliegenden Datenmeldung zuzüglich eines Zuschlages vorzunehmen. Der Zuschlag berechnet sich wie folgt:
- wobei Folgendes gilt
- 1. n ist die Anzahl der lückenlos aufeinander folgenden Jahre, für die die FMA die Basis der Berechnung der Kosten auf Basis der letztvorliegenden Datenmeldung festzusetzen hat;
- 2. b ist die für die letzte Vorperiode für den jeweiligen Kostenpflichtigen errechenbare Bemessungsgrundlage.
(4) Liegen für einen Kostenpflichtigen keine Datenmeldungen aus Vorperioden vor, so hat die FMA den Kostenanteil
- 1. eines Kreditinstituts oder sonstigen Kostenpflichtigen gemäß § 3 Abs. 1 Z 1 mit dem Mindestbetrag gemäß § 69a Abs. 4 BWG,
- 2. eines Zahlungsinstitutes mit dem Mindestbetrag gemäß § 60 Abs. 4 ZaDiG,
- 3. eines E-Geld-Institutes mit einem Mindestbetrag gemäß § 60 Abs. 4 ZaDiG,
- 4. einer Versicherung mit der Mindestgebühr gemäß § 117 Abs. 3 VAG in Verbindung mit § 7 Abs. 6,
- 5. einer Pensionskasse mit dem sich aus § 35 Abs. 1 Z 1 PKG ergebenden Betrag,
- 6. eines meldepflichtigen Instituts gemäß § 11 Abs. 3 Z 1,
- 7. eines Emittenten gemäß § 11 Abs. 3 Z 2,
- 8. einer zentralen Gegenpartei mit der Mindestpauschale gemäß § 11 Abs. 3 Z 4,
- 9. eines Clearingmitgliedes mit der Mindestpauschale gemäß § 11 Abs. 3 Z 5,
- 10. eines der in § 3 Abs. 1 Z 3 lit. f genannten Kostenpflichtigen mit der Mindestpauschale gemäß § 11 Abs. 3 Z 6 oder 7
- festzusetzen.
(5) Im Falle des Abs. 4 ist die FMA berechtigt, den Kostenanteil eines Kostenpflichtigen, dem eine Konzession zur Erbringung von Wertpapierdienstleistungen gemäß § 3 Abs. 2 WAG 2007 erteilt wurde, auf Grundlage der im Rahmen der Konzessionierung gemäß § 3 Abs. 8 WAG 2007 in Verbindung mit § 4 Abs. 3 Z 3 BWG vorzulegenden Budgetrechnung festzusetzen. § 16 bleibt hierbei unberührt.
(6) Die betragliche Mindestgebühr gemäß § 117 Abs. 3 VAG wird mit 250 Euro festgesetzt.
Zuletzt aktualisiert am
28.06.2022
Gesetzesnummer
20002824
Dokumentnummer
NOR40169752
Lizenziert vom RIS (ris.bka.gv.at - CC BY 4.0 DEED)
