vorheriges Dokument
nächstes Dokument

Anhang I Zusammenarbeit im Bereich der Steuern (Liechtenstein)

Aktuelle FassungIn Kraft seit 01.1.2014

Anhang I

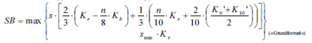
Berechnung des Steuerbetrages

wobei

K9' = Kr + Kr ・ r

K10' = Kr + Kr ・ 2 ・ r

___________________________________________________________________

Um Negativsteuern zu verhindern, gilt:

Falls , wird diese Größe gleich null gesetzt.

Der erhöhte Steuerbetrag SB' errechnet sich wie folgt:

Falls sl 0.30 (d.h. 30 %) und:

falls 2 Mio. Kr 4 Mio., dann gilt sl' = 0.32

falls 4 Mio. Kr 6 Mio., dann gilt sl' = 0.34

falls 6 Mio. Kr 8 Mio., dann gilt sl' = 0.36

falls 8 Mio. Kr, dann gilt sl' = 0.38

Es gilt SB' = sl'Kr.

Artikel 8 Absatz 5 legt fest, dass die Einmalzahlung in Euro berechnet wird. Alle Betrage in diesem Anhang sind somit in Euro.

SB

Steuerbetrag

SB'

Erhöhter Steuerbetrag

s

Steuersatz (30 %)

sl

Steuerbelastung

sl'

Erhöhte Steuerbelastung

Kr

Relevantes Kapital

n

Anzahl Jahre der Bankbeziehung vor dem 31.12.2011, 0 n 8

Kb

Kapitalbestand am Ende des Jahres, in dem die Bankbeziehung eröffnet wurde. Für Bankbeziehungen, die vor dem 01.01.2004 eröffnet wurden, ist der Kapitalbestand am 31.12.2003 maßgebend.

i

Jahr i, 1 i 10, wobei das Jahr 1 am 01.01.2004 beginnt

Ki

Kapitalbestand am Ende des Jahres i

K8

Kapitalbestand am Ende des achten Jahres (31.12.2011)

K10

Kapitalbestand am Ende des zehnten Jahres (31.12.2013)

K9', K10'

Fiktives Kapital am Ende des neunten (31.12.2012), resp. des zehnten Jahres (31.12.2013)

R

Rendite (3 % per annum)

Smin

Minimalsteuersatz (15 %)

  

Zusatzdokumente: image001, image002, image003, image004, image005, image006, image007, image008, image009

Lizenziert vom RIS (ris.bka.gv.at - CC BY 4.0 DEED)